
Intel is phasing out its 12th Generation “Alder Lake” processors, first released in 2021. According to official notices posted by Intel, these processors will no longer be produced after 2027.
Starting January 6, 2026, Intel will stop making certain older processors β specifically Core, Celeron G, and Pentium Gold Alder Lake CPUs β for both computer manufacturers (tray versions) and individual customers (boxed versions).
Starting April 10, 2026, Intel will no longer accept new orders for tray CPUs. All orders for both tray and boxed CPUs must be placed by July 24, 2026, which is also the last day to cancel or return existing orders. Finally, Intel will stop shipping Alder Lake processors altogether on January 22, 2027, marking the end of this processor generation.
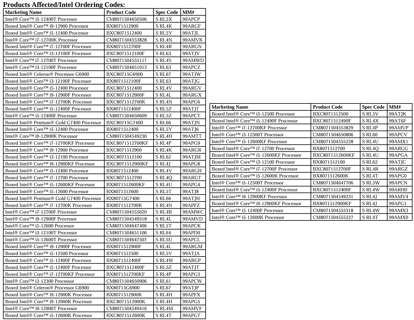
Here’s a look at the full list from Intel’s support page:

Alder Lake was a great generation, but did it push Intel past AMD?

Intel’s 12th Gen “Alder Lake” CPUs represented a significant and positive shift for Team Blue.
As an analyst, I’ve been following the response to these new chips, and the feedback has been overwhelmingly positive. Built using Intel’s 7 process β which they’re also calling 10nm Enhanced SuperFin β reviewers are really impressed with the improved performance and the value they offer. A big part of that is the move to support the latest technologies like PCIe 5.0 and DDR5.
Intel’s Alder Lake processors introduced a new approach to design, borrowing a technique previously used in chips like Apple’s M1. It combines high-performance cores for demanding tasks with efficient cores for lighter workloads, improving both speed and power savings. Intel continues to use this core design in its processors today.

Despite the positive developments, it’s worth noting that AMD had already released its first Ryzen 5000 series processors, like the Ryzen 9 5950X, around a year before, and they were very powerful.
Shortly after the release of Intel’s Alder Lake processors in 2021, we surveyed Windows Central readers to see how they felt about Intel’s ability to compete with AMD and Apple. The results showed that just over 42% thought Alder Lake would be a strong competitor, while almost 29% believed Intel was still behind. Interestingly, a similar 28% felt that Alder Lake had actually given Intel the edge over AMD.
AMD released the impressive Ryzen 7 5800X3D around six months after Intel’s Alder Lake launched, and it continues to be a popular choice on the used market.
Intel faced difficulties after discovering instability problems in its 13th and 14th generation processors, and its new Core Ultra line didn’t generate much enthusiasm among PC users.
Intel plans to release its next generation of mobile chips, called “Panther Lake,” in early 2026. Desktop versions, known as “Nova Lake,” should follow later that year.
(via Videocardz)
Read More
- Best Controller Settings for ARC Raiders
- Darkwood Trunk Location in Hytale
- Hytale: Upgrade All Workbenches to Max Level, Materials Guide
- Donkey Kong Country Returns HD version 1.1.0 update now available, adds Dixie Kong and Switch 2 enhancements
- How To Watch A Knight Of The Seven Kingdoms Online And Stream The Game Of Thrones Spinoff From Anywhere
- Ashes of Creation Rogue Guide for Beginners
- PS5βs Biggest Game Has Not Released Yet, PlayStation Boss Teases
- Nicole Richie Reveals Her Daughter, 18, Now Goes By Different Name
- Olympian Katie Ledecky Details Her Gold Medal-Winning Training Regimen
- When to Expect One Piece Chapter 1172 Spoilers & Manga Leaks
2026-01-22 18:09