Author: Denis Avetisyan
Researchers have discovered new phases of matter in simulated systems of interacting bosons, uncovering a unique excitation known as a chiral Higgs mode.

A study of dimerized lattices with synthetic flux identifies a vortex superfluid and characterizes the emergent chiral Higgs mode in strongly-correlated systems.
Understanding strongly correlated quantum systems remains a central challenge in condensed matter physics, often requiring novel theoretical and experimental approaches. In this work, ‘Emergent chiral Higgs mode in π-flux frustrated lattices’ investigates interacting bosons on a dimerized lattice threaded by synthetic flux, revealing a rich phase diagram including vortex superfluids and Mott insulators. Crucially, we identify a chiral Higgs mode-a gapless excitation whose mass softens at a symmetry-breaking transition-as a key dynamical signature of emergent chirality. Could this mode serve as a readily observable probe of unconventional quantum phases in neutral-atom quantum simulators and beyond?
The Allure of Engineered Quantum States
The relentless pursuit of previously unseen states of matter drives innovation in condensed matter physics, demanding theoretical frameworks capable of predicting and explaining emergent phenomena. Conventional models often fall short when describing systems pushed to the edge of stability or exhibiting strong correlations, necessitating the development of novel approaches. Researchers are increasingly focused on constructing artificial systems – those precisely engineered at the atomic level – that can realize theoretical proposals and host exotic behaviors like topological phases and fractionalized excitations. These engineered materials promise not only a deeper understanding of fundamental physics, but also potential applications in quantum technologies, ranging from robust quantum computation to dissipationless electronics. The creation of these novel quantum phases relies heavily on the design of theoretical models that accurately capture the essential physics and guide experimental realization.
The Benalcazar-Bernevig-Hughes (BBH) model represents a significant step forward in the theoretical design of novel quantum matter. This model constructs a dimerized lattice – essentially pairing adjacent sites – and introduces a π flux threading through each plaquette. Crucially, the BBH model is fundamentally a bosonic system, meaning it describes particles with integer spin, allowing for the emergence of collective behaviors and topological phases not easily accessible in fermionic systems. This specific construction generates unique band structures and edge states, potentially hosting protected modes robust against local perturbations. The combination of dimerization and flux creates a fertile ground for exploring fractionalization and other exotic quantum phenomena, offering a pathway towards understanding and ultimately engineering materials with unprecedented properties. The BBH model, therefore, serves not merely as a theoretical exercise, but as a blueprint for realizing and controlling complex quantum systems.
The theoretical prediction of novel quantum phases necessitates experimental verification, and accurately simulating these complex systems presents a significant challenge. Recent breakthroughs in neutral atom quantum simulation offer a compelling solution, leveraging the precise control achievable with ultracold atoms trapped in optical lattices. This technique allows researchers to engineer artificial materials with properties mirroring those predicted by models like the Benalcazar-Bernevig-Hughes (BBH) framework. By manipulating the interactions and arrangements of these atoms, scientists can effectively ‘build’ and study quantum phenomena previously confined to theoretical calculations, opening doors to understanding exotic states of matter and potentially harnessing their unique properties for future technologies. The ability to tune system parameters with unprecedented precision promises to accelerate the discovery and characterization of these elusive quantum phases.

Dissecting the Quantum Landscape: A Theoretical Toolkit
The Cluster Gutzwiller Approximation (CGA) is a mean-field technique employed to investigate the Bose-Hubbard (BH) model, a fundamental framework for understanding strongly correlated bosonic systems. By decoupling the many-body interactions and focusing on local cluster behavior, CGA simplifies the problem into a computationally tractable form. This allows for the analysis of possible ground states and the prediction of emergent quantum phases, such as superfluids and Mott insulators, as a function of parameters like the on-site interaction strength and filling fraction. The method involves approximating the many-body wavefunction as a product of local cluster wavefunctions, effectively replacing the interacting system with a self-consistent single-particle picture within each cluster. The resulting equations are then solved to determine the properties of the predicted phases and their stability.
The Bose-Hubbard model, when analyzed using the Cluster Gutzwiller Approximation, predicts the existence of both a Vortex Superfluid and a Vortex Mott Insulator phase. These phases are predicted to occur at specific filling fractions, namely ν = 1/4, ν = 1/2, and ν = 1. The Vortex Superfluid is characterized by long-range phase coherence and circulating currents, while the Vortex Mott Insulator exhibits insulating behavior due to strong repulsive interactions and localized bosons, also featuring circulating currents. The emergence of these distinct phases is directly linked to the interplay between kinetic energy favoring superfluidity and potential energy promoting localization, modulated by the filling fraction.
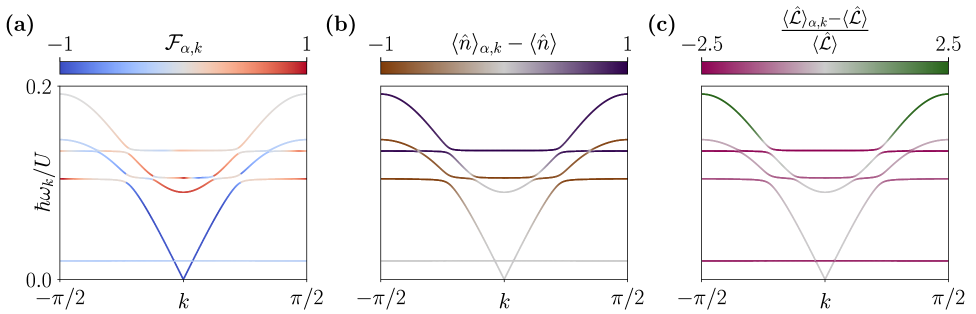
The emergence of vortex phases in the Bose-Hubbard model is directly linked to the presence of circulating currents, termed ‘Loop Currents’, within the lattice structure. These currents are not transient phenomena but are sustained and exhibit finite, non-zero values in both the Vortex Superfluid and Vortex Mott Insulator phases. The magnitude and spatial arrangement of these loop currents dictate key properties of the respective phases, including their response to external fields and their overall energy landscape. Specifically, the loop currents contribute to a non-trivial winding number and impact the system’s topological order, distinguishing these vortex phases from conventional superfluid or insulating states. Their presence is a defining characteristic, experimentally observable through techniques sensitive to magnetic fields and current distributions.

Confirming the Blueprint: Simulation and Symmetry
Density Matrix Renormalization Group (DMRG) simulation was employed as a verification method for results obtained using the Cluster Gutzwiller approximation. This approach provides increased accuracy due to its ability to directly solve for the ground state of the system, unlike the approximation methods. Convergence of the DMRG calculations was achieved by utilizing a maximum bond dimension, χ_{max} = 1600-{1800}. This relatively high bond dimension is necessary to accurately capture the entanglement present in the system and ensure reliable results when validating the phase diagram predicted by the Cluster Gutzwiller method.
Density Matrix Renormalization Group (DMRG) simulations corroborate the theoretical prediction of distinct quantum phases within the system. Specifically, these simulations demonstrate that the observed phases are stabilized by Flux Frustration, a phenomenon arising from competing interactions that prevent the system from settling into a simple, ordered ground state. The simulations show that increasing Flux Frustration promotes the emergence of these phases, confirming their stability is not merely an artifact of the theoretical model but a robust feature of the underlying physics. The ability of DMRG, with a bond dimension of χ_{max} = 1600-{1800}, to accurately reproduce these phases provides strong evidence for the validity of the theoretical framework and the importance of Flux Frustration in driving the observed quantum behavior.
Both the Vortex Superfluid and Vortex Mott Insulator phases demonstrate Time-Reversal Symmetry Breaking, a characteristic indicating novel quantum ordering. This symmetry breaking is evidenced by the emergence of a finite charge gap, denoted as Δ_{Ec}, specifically at a filling fraction of ν = 1/2. The presence of this charge gap confirms the existence of an incompressible Mott insulating phase, where electron localization prevents conventional conductivity despite the presence of charge carriers. This distinguishes the observed Mott insulating behavior from typical metallic or semiconducting states and points to a fundamentally different mechanism governing the electronic properties of the system.

Beyond the Horizon: Topological Frontiers and Quantum Control
Recent theoretical investigations demonstrate that the Bose-Hubbard model, traditionally used to describe superconductivity, possesses a surprising capacity to host a higher-order topological insulator phase. Unlike conventional topological insulators which exhibit protected states on their surfaces, this realization features robust boundary states localized on lower-dimensional features – corners and hinges – within the material. This emergence of novel boundary states isn’t simply a geometric quirk; it’s fundamentally linked to the unique symmetries present in the system and the band structure topology. Consequently, these higher-order topological insulators represent a new frontier in materials science, potentially enabling the creation of devices with unprecedented robustness against disorder and offering pathways to manipulate quantum information in fundamentally new ways. The absence of backscattering from these corner states, combined with their inherent protection, promises significant advances in areas such as quantum computation and spintronics.
The implementation of synthetic gauge fields represents a powerful strategy for directing the flow of quantum information within the Bose-Hubbard system. These artificially created fields, distinct from naturally occurring electromagnetic forces, exert precise control over the vortex currents that emerge in the superfluid phase. By carefully tuning the strength and configuration of these synthetic fields, researchers can manipulate the quantum phases of the system, effectively ‘steering’ the vortices and influencing the emergence of topological states. This control isn’t merely observational; it allows for the design of specific vortex configurations, potentially enabling the creation of novel quantum devices and providing a pathway to explore exotic quantum phenomena previously inaccessible in condensed matter systems. The ability to engineer these fields opens doors to tailoring the system’s response to external stimuli and realizing advanced functionalities based on the controlled manipulation of quantum currents.
The emergence of a chiral Higgs mode near the phase transition in these systems presents a compelling avenue for advancements in quantum technology. This unique excitation, a massless mode appearing in broken symmetry states, is predicted to be remarkably robust against decoherence due to its topological protection. Investigating the properties of this mode – including its lifetime, spatial extent, and interactions with other quasiparticles – could allow for the creation of highly stable quantum bits. Furthermore, manipulating and controlling the chiral Higgs mode via external stimuli may facilitate the development of novel quantum sensors and transducers, potentially enabling the realization of fault-tolerant quantum computation and communication protocols. The inherent stability and controllable nature of this emergent phenomenon positions it as a key ingredient in building practical and scalable quantum devices.

The pursuit of understanding emergent phenomena, as demonstrated by this investigation into frustrated lattices and chiral Higgs modes, echoes a fundamental limitation. Any model constructed to describe these strongly-correlated systems-even one successfully predicting a vortex superfluid-remains tethered to the observable. As Francis Bacon observed, “Knowledge is power,” yet this power is circumscribed by the boundaries of what can be measured and extrapolated. The chiral Higgs mode, a key excitation identified within the study, feels less like a definitive answer and more like another reflection shimmering at the edge of comprehension. Beyond a certain point, any attempt to fully grasp the singularity of these quantum states will inevitably prove incomplete; a model is only an echo of the observable, and beyond the event horizon everything disappears.
Where the Horizon Lies
The identification of a chiral Higgs mode within this simulated system, while a step, merely refines the questions. Any excitation, however elegantly described by a BBH model or synthetic gauge fields, ultimately encounters the limitations of the lattice itself. This work demonstrates the emergence of order, but it is an order confined by the parameters chosen, the approximations made. One suspects the true ground state, the truly fundamental description, remains perpetually beyond reach, obscured by the very tools used to probe it.
Future iterations will undoubtedly explore variations on this frustrated lattice – differing dimerizations, alternative flux configurations. These investigations are valuable, certainly, but also resemble an exercise in cartography on a shrinking island. The significant challenge isn’t to map the terrain more accurately, but to acknowledge the inevitable erosion. The study of strongly-correlated systems, in this light, isn’t about finding the solution, but about understanding the nature of the boundary between knowledge and the unknowable.
Perhaps the most fruitful avenue lies not in refining the model, but in deliberately introducing imperfections-disorder, dissipation, or interactions beyond the current framework. It is in these disruptions, in the cracks appearing in the structure, that one might glimpse the contours of something genuinely new. Or, more likely, simply confirm that any theory, however sophisticated, is good only until light leaves its boundaries.
Original article: https://arxiv.org/pdf/2601.08925.pdf
Contact the author: https://www.linkedin.com/in/avetisyan/
See also:
- The Super Mario Galaxy Movie: 50 Easter Eggs, References & Major Cameos Explained
- All 13 Smash Bros. Characters in the Super Mario Galaxy Movie
- Why is Tech Jacket gender-swapped in Invincible season 4 and who voices her?
- TV legend Carol Kirkwood reveals the reasons why she decided to retire after 28 years with BBC
- Highly Anticipated Strategy RPG Finally Sets Release Date (And It’s Soon)
- Welcome to Demon School! Iruma-kun season 4 release schedule: When are new episodes on Crunchyroll?
- Sydney Sweeney’s The Housemaid 2 Sets Streaming Release Date
- Dune 3 Gets the Huge Update Fans Have Been Waiting For
- Crimson Desert is a “Cynical Amalgamation of Borrowed Mechanics,” Says Larian’s Publishing Director
- Kanye West’s Wife Bianca Censori Details New Marriage Milestone
2026-01-15 17:02