Author: Denis Avetisyan
New calculations of atomic processes within dark matter models are enabling astronomers to more precisely constrain the properties of this elusive substance.

This paper validates the use of rescaled Standard Model rates for calculating radiative processes in atomic dark matter, leading to tighter cosmological constraints from CMB and large-scale structure observations.
The prevailing framework for atomic dark matter often relies on extrapolations from Standard Model physics, potentially limiting the precision of cosmological constraints. This work, ‘Pushing the Limits of Atomic Dark Matter: First-Principles Recombination Rates and Cosmological Constraints’, presents a detailed analysis of dark recombination and cooling, validating the use of rescaled Standard Model rates for calculating radiative processes within this framework. By combining Planck CMB measurements with BAO and Pantheon+ data, we establish new constraints on the parameter space of atomic dark matter, identifying regions where dark acoustic oscillations leave observable imprints. What unexplored regions of the atomic dark matter parameter space remain, and what novel observational signatures might reveal their existence?
Unveiling the Dark Universe: A New Paradigm for Cosmic Matter
The composition of dark matter, accounting for approximately 85% of the universe’s matter content, represents a fundamental gap in current cosmological understanding. Despite decades of research utilizing increasingly sensitive experiments and observations, its true nature remains elusive, prompting physicists to explore theoretical frameworks extending beyond the established Standard Model of particle physics. This ongoing quest isn’t simply about identifying a new particle; it demands a comprehensive revision of existing models to accommodate a substance that interacts only weakly-or not at all-with ordinary matter and light. Consequently, the pursuit of dark matter’s identity drives innovation in both theoretical physics and experimental techniques, pushing the boundaries of what is currently known about the universe’s fundamental constituents and forces.
A potentially groundbreaking solution to the enduring mystery of dark matter centers on the concept of Atomic Dark Matter, which posits the existence of two previously unknown types of fundamental particles – fermions – that engage in interactions mediated by a ‘dark’ force. This dark force operates analogously to electromagnetism, described by a U(1) gauge symmetry, but acts solely within the dark sector, completely separate from the forces governing ordinary matter. Unlike many dark matter candidates which rely on extremely weak interactions, this framework proposes a relatively strong interaction between these new fermions, enabling the formation of stable, complex ‘dark atoms’ and potentially resolving some of the challenges faced by weakly interacting massive particle (WIMP) models. The strength of this dark force, and the resulting properties of these dark atoms, dictates how this dark matter interacts with itself and the observable universe, opening up avenues for both cosmological and direct detection searches.
The theoretical framework of Atomic Dark Matter predicts the existence of ‘dark hydrogen’-a compelling concept wherein dark matter particles bind together through a fundamental force analogous to electromagnetism. This interaction, mediated by a hypothetical ‘dark photon,’ allows two new fermionic dark matter species to combine, forming a neutral, stable atom in the dark sector. Just as standard hydrogen atoms played a crucial role in the early universe and the formation of stars, dark hydrogen is posited to have influenced the distribution of dark matter and potentially left subtle imprints on the cosmic microwave background. The properties of this dark hydrogen – its binding energy, atomic radii, and potential for radiative transitions – are currently under investigation, offering a unique pathway to detect and characterize this elusive form of matter through precision cosmological observations and direct detection experiments.
The theoretical framework of Atomic Dark Matter doesn’t simply posit the existence of new particles; it forecasts a series of observable consequences woven into the fabric of the cosmos. Specifically, the dark hydrogen formed through the interaction of these particles alters the expansion rate of the early universe in a way distinct from standard cosmological models, leaving an imprint on the Cosmic Microwave Background. Furthermore, the distribution of dark hydrogen affects the formation of large-scale structures, subtly modifying the patterns observed in galaxy surveys and the abundance of elements formed during Big Bang nucleosynthesis. These effects, while delicate, offer potential avenues for indirect detection, allowing scientists to probe the properties of dark matter through precision cosmological measurements and potentially distinguishing Atomic Dark Matter from other proposed candidates.

Calculating Dark Hydrogen Properties: A First-Principles Approach
The recombination coefficient of dark hydrogen is a critical parameter in cosmological modeling because it directly influences the integrated Sachs-Wolfe (ISW) effect and the cosmic microwave background (CMB) power spectrum. Accurate determination of this coefficient is necessary to predict the amplitude and frequency dependence of the dark hydrogen 21-cm signal, allowing for robust constraints on dark matter properties and the evolution of large-scale structure. Variations in the recombination rate impact the free electron density and thus the optical depth to photons, influencing the visibility of early structure formation and the subsequent damping of acoustic oscillations in the CMB. Therefore, precise knowledge of this coefficient is essential for distinguishing dark hydrogen signals from astrophysical foregrounds and for accurately interpreting cosmological observations.
The recombination coefficient for dark hydrogen is determined using the RecombinationCalculation module, a first-principles approach that directly computes the rate of electron-dark proton recombination. This calculation does not rely on empirical fitting parameters or extrapolations beyond established theoretical limits. Instead, it solves the Schrödinger equation for the relevant electronic states, accounting for all relevant matrix elements and phase space factors. The methodology involves a fully differential treatment of the recombination process, allowing for precise determination of the recombination rate as a function of the initial kinetic energy of the electron and the final state of the dark hydrogen atom. This rigorous approach ensures a robust and reliable prediction of the recombination coefficient, crucial for cosmological modeling.
The calculation of dark hydrogen properties, specifically the recombination coefficient, is grounded in well-established fundamental constants, most notably the α fine-structure constant. Utilizing these constants ensures a theoretically sound and verifiable basis for the computation, minimizing dependence on empirical parameters. The value of the fine-structure constant, approximately 1/137, dictates the strength of electromagnetic interactions, and its inclusion directly influences the calculated energy levels and transition rates within the dark hydrogen atom. This approach provides a robust foundation, allowing for precise predictions of dark hydrogen behavior and facilitating comparisons with cosmological observations, independent of specific dark matter models.
The \text{SMRescaling} method provides a computational approach to estimating interaction rates within the Asymmetric Dark Matter (ADM) framework. This technique leverages well-established calculations from the Standard Model, effectively rescaling these known rates based on the dark fine-structure constant, \alpha_D. The validity of this rescaling is confirmed up to a dark fine-structure constant of \alpha_D \leq 0.3, providing a reliable estimation of ADM interaction rates without requiring entirely new calculations for this parameter range. This allows for efficient exploration of ADM parameter space by building upon the robust foundation of Standard Model physics.

Constraining the Invisible: Cosmological Tests of Atomic Dark Matter
Cosmological constraints are employed to test the Atomic Dark Matter (ADM) model by comparing its theoretical predictions to observational data characterizing both the early universe and the present-day large-scale structure. This process involves generating predictions for key cosmological parameters within the ADM framework and then assessing the compatibility of these predictions with observations such as the Cosmic Microwave Background (CMB) and the distribution of galaxies. Discrepancies between predicted and observed values provide constraints on the allowed parameter space of the ADM model, effectively limiting the possible properties of the dark matter particles. This methodology allows for a quantitative assessment of the ADM model’s viability and distinguishes it from other dark matter candidates.
The PlanckData and ACTData sets are critical components in constraining cosmological models through observations of the Cosmic Microwave Background (CMB). PlanckData, originating from the Planck satellite mission, provides full-sky maps of the CMB temperature and polarization with high angular resolution and sensitivity, covering frequencies from 30 GHz to 857 GHz. The Atacama Cosmology Telescope (ACT) data, ACTData, complements PlanckData by focusing on smaller angular scales and providing higher sensitivity at specific frequencies, particularly in the millimeter wave range. These datasets measure the tiny temperature fluctuations in the CMB, which represent the primordial density perturbations that seeded the formation of large-scale structure in the universe. The precision of these measurements-reaching temperature sensitivities of approximately 2\ \mu K-allows for stringent tests of cosmological parameters and models, including those involving dark matter interactions.
To enhance the precision of our cosmological constraints, the analysis combines data from the Cosmic Microwave Background (CMB) with observations of Large-Scale Structure (LSS). CMB data, processed via CMBAnalysis, provides a snapshot of the early universe, while LSS data traces the distribution of matter at later times. This combined approach is crucial because the CMB is most sensitive to parameters affecting the early universe, while LSS is more sensitive to parameters governing structure formation at later epochs. By leveraging the complementary strengths of both datasets, we achieve a significantly improved sensitivity to the parameters characterizing Atomic Dark Matter (ADM) compared to using either dataset in isolation.
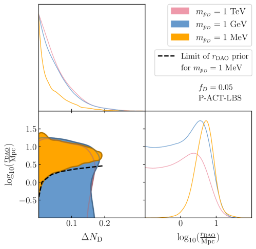
Analysis of Cosmic Microwave Background data from PlanckData and ACTData, combined with observations of LargeScaleStructure, yields constraints on the properties of atomic dark matter (ADM). Specifically, we determine an upper limit on the change in the effective number of relativistic species to \Delta N_{eff} \leq 0.16, representing an improvement over prior constraints derived from PlanckData alone. Furthermore, the dark sound horizon, r_{DAO}, is constrained to be less than or equal to 10 Mpc for a dark matter fraction f_D of 0.05, and less than or equal to 2.5 Mpc for f_D = 1. These limits are derived through CMBAnalysis and provide quantitative bounds on the ADM model parameters.

Beyond the Standard Model: Implications and Future Directions for Dark Matter Research
The confirmation of Axion Dark Matter (ADM) would necessitate a fundamental revision of the standard cosmological model and particle physics. Current understanding posits that approximately 85% of the universe’s matter is dark, interacting gravitationally but remaining otherwise elusive; ADM offers a compelling particle candidate to explain this missing mass. Unlike weakly interacting massive particles (WIMPs), a previously favored dark matter hypothesis, ADM arises naturally from theoretical solutions to the strong CP problem in quantum chromodynamics. Establishing its existence wouldn’t simply identify a dark matter particle, but would also validate a profound connection between the fundamental forces governing particle interactions and the large-scale structure of the cosmos, potentially revealing new symmetries and dimensions beyond those currently described by the Standard Model. Such a discovery would open entirely new avenues for exploring the universe’s earliest moments and its ultimate fate, reshaping our comprehension of its composition and evolution.
A compelling prediction of Asymmetric Dark Matter (ADM) lies in its potential to generate detectable signals through two distinct mechanisms. First, ADM predicts the existence of \textit{DarkAcousticOscillations} (DAO), ripples in the dark matter fluid analogous to sound waves in ordinary matter, which could leave subtle imprints on the distribution of galaxies or the cosmic microwave background. Secondly, ADM contributes to the overall \textit{DarkRadiation} content of the universe – relativistic particles beyond those predicted by the standard cosmological model – potentially altering the expansion history and impacting precision measurements of the effective number of neutrino species. These predicted signatures offer promising new avenues for indirect detection, allowing researchers to probe the properties of ADM through independent cosmological observations and potentially confirm its existence beyond collider experiments.
This research highlights a powerful synergy between theoretical modeling and observational cosmology. By employing first-principles calculations – deriving predictions directly from fundamental physical laws without empirical parameters – and then rigorously testing these predictions against the precision of modern cosmological observations, scientists can effectively constrain and refine models of the universe. This approach moves beyond purely phenomenological studies, offering a deeper, more robust understanding of dark matter and other cosmological phenomena. The successful combination of these methodologies demonstrates a pathway for tackling some of the most challenging questions in physics, allowing researchers to move confidently toward models that extend beyond the Standard Model and accurately reflect the observed universe.
Investigations are now shifting toward tightening the existing boundaries on Asymmetric Dark Matter (ADM) through more precise cosmological measurements and advanced computational techniques. This includes detailed analyses of the Cosmic Microwave Background, large-scale structure surveys, and potentially, direct detection experiments designed to probe light dark matter candidates. Beyond simply narrowing the parameter space, future studies aim to unravel the broader consequences of ADM for particle physics, examining its potential connections to neutrino masses, the baryon asymmetry of the universe, and even the stability of the Standard Model. Furthermore, researchers are exploring the implications of DarkAcousticOscillations and DarkRadiation predicted by ADM, seeking unique signatures that could definitively confirm its existence and reveal the fundamental properties of this elusive component of the universe.

The exploration of atomic dark matter necessitates a rigorous assessment of radiative processes, a challenge addressed by rescaled Standard Model rates. This approach, validating their use for calculating recombination rates, echoes a fundamental principle of scientific inquiry: understanding a system requires examining its underlying patterns. As Hannah Arendt observed, “Political action is conditioned by the fact that men live together.” Similarly, cosmological modeling is conditioned by the interconnectedness of physical processes; the accuracy of recombination rate calculations directly impacts the interpretation of Cosmic Microwave Background observations and, consequently, the constraints on dark matter parameters. The study systematically tests assumptions about these connections, offering a more robust framework for deciphering the universe’s hidden components.
Where Do We Go From Here?
This work establishes a methodological foundation – the pragmatic rescaling of Standard Model calculations – but does not, of course, offer a definitive answer. The universe remains stubbornly opaque in many respects. Future explorations should carefully check data boundaries when interpreting cosmological recombination, as spurious patterns are easily introduced by insufficiently constrained parameters. A deeper investigation into the interplay between dark hydrogen and baryonic matter during recombination is crucial; simplistic assumptions about their relative densities may mask subtle but important effects on the Cosmic Microwave Background.
The expansion of the explored parameter space, while encouraging, highlights the need for more sensitive direct detection experiments. Current limits on atomic dark matter’s properties necessitate a re-evaluation of experimental strategies. Perhaps the most pressing challenge lies in differentiating the signatures of dark acoustic oscillations from those generated by more conventional cosmological phenomena. Rigorous simulations, incorporating non-linear effects and a more realistic treatment of structure formation, are essential.
Ultimately, the search for dark matter, in all its forms, remains an exercise in pattern recognition. The universe offers clues, but it is up to the analyst to discern signal from noise, and to acknowledge the inherent limitations of any model. A healthy skepticism, coupled with a willingness to embrace unexpected results, is perhaps the most valuable tool at one’s disposal.
Original article: https://arxiv.org/pdf/2602.10197.pdf
Contact the author: https://www.linkedin.com/in/avetisyan/
See also:
- FRONT MISSION 3: Remake coming to PS5, Xbox Series, PS4, Xbox One, and PC on January 30, 2026
- Best Controller Settings for ARC Raiders
- Mark Zuckerberg & Wife Priscilla Chan Make Surprise Debut at Met Gala
- Welcome to Demon School! Iruma-kun season 4 release schedule: When are new episodes on Crunchyroll?
- The Boys Season 5 Officially Ends An Era For Jensen Ackles’ Soldier Boy
- Meet the cast of Good Omens season 3: All the actors and characters
- 7 Great Marvel Villains Who Are Currently Dead
- Nippon Sangoku Is The Best New Post-Apocalyptic Anime of Spring 2026
- Wistoria: Wand and Sword Season 2 release schedule: When are new episodes out?
- XRP AUD PREDICTION. XRP cryptocurrency
2026-02-12 10:00