Author: Denis Avetisyan
New research reveals how the size and properties of ultrashort electron pulses affect the precision of electron momentum spectroscopy, impacting our ability to image materials at the atomic scale.

Finite wave packet effects and vacuum dispersion limit the probed momentum space in time-resolved electron momentum spectroscopy, describable via Gabor transform analysis.
Despite the theoretical promise of attosecond resolution in electron momentum spectroscopy (EMS), practical limitations related to the finite size of electron wave packets have remained largely unaddressed. This work, ‘Time-resolved Electron Momentum Spectroscopy with Ultrashort Electron Pulses: Confined Probing and Effects of Vacuum Dispersion’, analytically investigates how these finite wave packets spatially confine the probed region of a target’s momentum distribution, demonstrating a scattering process effectively described by a spatially filtering Gabor transform. Furthermore, we show how vacuum dispersion-the wave packet’s spatial broadening during propagation-influences the observed EMS signal. Can a comprehensive understanding of these effects refine the interpretation of future attosecond-EMS experiments and unlock the full potential of this technique for studying ultrafast electron dynamics?
Beyond the Ideal: When Plane Waves Fail Us
Conventional scattering theories, such as the First Born Approximation and the Plane-Wave Impulse Approximation (PWIA), frequently begin with a significant simplification: the assumption of a perfectly defined, plane-wave initial state for the incident electron. This approach, while mathematically tractable, inherently disregards the fundamental reality that any electron beam possesses a finite spatial extent and, consequently, a distribution of initial momenta. By treating the electron as an infinitely extended plane wave, these approximations effectively ignore the inherent uncertainty in the electron’s initial position, leading to inaccuracies in reconstructing the momentum distribution after scattering. This simplification can obscure subtle features of the scattering process and limit the precision of momentum measurements, particularly when dealing with delicate quantum effects or complex target systems. The assumption, therefore, represents a trade-off between mathematical convenience and physical realism.
Conventional interpretations of scattering experiments often model initial electron states as plane waves, a simplification that fundamentally limits the precision with which momentum can be determined. In reality, any electron is spatially localized – confined to a finite region – and this localization introduces an inherent uncertainty in its momentum, as dictated by the principles of quantum mechanics. Assuming a plane wave effectively ignores this spatial extent, leading to an underestimation of the true momentum spread and potentially obscuring subtle features in the momentum distribution. This simplification can manifest as artificially sharp momentum peaks or a failure to resolve closely spaced features, ultimately reducing the accuracy and interpretive power of the experiment. A more accurate description requires accounting for the electron’s wave packet nature, recognizing that a spatially confined electron possesses a minimum momentum uncertainty that impacts the observed scattering patterns.
The assumption of a perfectly defined initial electron state, inherent in approximations like the First Born Approximation, fails to account for the fundamental properties of quantum fields and the measurement process itself. Vacuum dispersion, a consequence of quantum electrodynamics, introduces an intrinsic uncertainty in the electron’s momentum even before any scattering event occurs. Simultaneously, spatial filtering, arising from the finite acceptance angle of detectors, effectively convolves the true momentum distribution with the detector’s spatial resolution. These combined effects don’t merely add noise; they systematically broaden and distort the observed momentum distributions, obscuring crucial details about the scattering potential and limiting the precision with which momentum transfer can be determined. Consequently, interpretations based solely on idealized plane-wave models may yield inaccurate or incomplete representations of the underlying physics, necessitating more sophisticated theoretical treatments that incorporate these often-neglected phenomena.

Embracing Reality: The Power of Wave Packets
Traditional scattering experiments often model initial electron states as plane waves, which extend infinitely in space and are therefore unphysical. Employing wave packets – solutions to \text{Schrödinger's equation} that are spatially localized – more accurately represents the initial state of an electron beam. This localization is achieved through the superposition of multiple momentum states, creating a finite spatial extent. The use of wave packets is crucial for modeling realistic electron sources, accounting for the finite size and momentum spread inherent in any physical beam, and provides a more accurate framework for interpreting scattering results. Unlike plane waves, wave packets naturally decay in time due to the underlying momentum distribution, mirroring the behavior of real electron beams and enabling a more precise comparison between theoretical predictions and experimental observations.
Vacuum dispersion, a consequence of the energy-momentum relation for relativistic electrons, causes the spatial extent of a wave packet to increase as it propagates. This broadening occurs because different momentum components within the packet travel at slightly different group velocities v_g = \frac{1}{p} \frac{dE}{dp}, leading to a temporal spread which then manifests as a spatial expansion. The degree of broadening is directly proportional to the propagation distance and the initial momentum spread of the wave packet. Accurate modeling of this dispersion is essential for interpreting experimental results, particularly in Electron Microscopy Spectroscopy (EMS), as it directly affects the observed spatial resolution and momentum distributions.
Accurate interpretation of momentum spectra in scattering experiments necessitates careful consideration of the relationship between wave packet localization and spatial filtering. Spatial filtering, typically achieved with apertures, modifies the wave packet’s spatial extent and, consequently, alters the observed momentum distribution; a perfectly localized wave packet, while theoretically ideal, is subject to diffraction broadening upon filtering. Conversely, a highly delocalized wave packet is less sensitive to filter dimensions but provides reduced spatial resolution. Therefore, the finite spatial extent of the initial wave packet and the characteristics of any applied spatial filtering must be precisely accounted for when determining the momentum components, as the measured momentum spectrum is a convolution of the intrinsic momentum distribution within the wave packet and the filter’s transfer function. Failure to do so introduces systematic errors in momentum determination and hinders accurate analysis of scattering data.
Achieving high-resolution Electron Momentum Spectroscopy (EMS) relies critically on a comprehensive characterization of the momentum distribution within the initial wave packet employed. This distribution encompasses both transversal and longitudinal momentum components, necessitating precise control and measurement to minimize spectral broadening. Utilizing wave packets with a duration of 100 attoseconds (10^{-{16}} s) allows for temporal and spatial localization sufficient to resolve fine details in the momentum space. Accurate determination of these momentum components is essential for correctly interpreting EMS data and isolating the effects of the scattering process from inherent uncertainties in the initial state preparation. Failure to fully characterize this distribution introduces artificial broadening, limiting the achievable resolution and potentially masking subtle features in the momentum spectra.

Witnessing the Dance: Time-Resolved Momentum Mapping
Time-Resolved Electron Momentum Spectroscopy (EMS) employs wave packets – electron pulses with a finite temporal and spatial extent – to map the momentum distribution of electrons within a target atom or molecule. Unlike traditional EMS which measures the full momentum distribution, wave packet EMS focuses on a limited region of momentum space defined by the wave packet’s characteristics. This allows for time-dependent measurements of the momentum density, effectively creating a direct image of the evolving electronic structure. The technique relies on the principle that the momentum of an electron is directly related to its wavelength, and by analyzing the scattered wave packets, researchers can reconstruct the momentum space distribution and track changes in electronic states as they occur, providing insights into ultrafast dynamics.
Time-resolved electron microscopy (TREM) experiments utilizing a symmetric non-coplanar detection geometry are designed to capture outgoing electrons possessing a shared kinetic energy. This geometry involves detectors arranged such that the scattered electrons arrive at the detection plane with equivalent energies, simplifying data analysis and allowing for direct mapping of momentum distributions. The symmetry minimizes distortions arising from variations in electron trajectories and energy loss, while the non-coplanar arrangement provides the necessary angular resolution to reconstruct the momentum space. By focusing on electrons with a common kinetic energy, the technique effectively filters out contributions from secondary electron events and inelastic scattering, enhancing the signal-to-noise ratio and improving the accuracy of momentum measurements.
Precise control of electron pulse characteristics is fundamental to time-resolved electron microscopy (TREM) experiments. Attosecond electron pulses, typically generated via field emission from a sharp metallic tip, require careful shaping and synchronization with the optical excitation. Optical modulation techniques, utilizing femtosecond laser pulses, are commonly employed to control the timing, duration, and spatial properties of the emitted electron pulses. These techniques enable the creation of short electron wave packets with defined kinetic energy distributions and minimized chromatic aberrations, which are crucial for achieving high spatial and temporal resolution in momentum-resolved measurements. Furthermore, optimization of pulse parameters, such as the accelerating voltage and laser polarization, directly impacts the achievable momentum resolution and signal-to-noise ratio of the experiment.
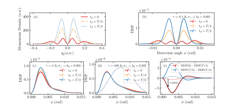
The Gabor transform is a key analytical technique in time-resolved electron microscopy for reconstructing momentum space images from wave packet data. This transform effectively deconvolves the spatial filtering introduced by the wave packet’s finite transverse momentum width, enabling accurate determination of the sample’s momentum distribution. Optimal performance is achieved when employing wave packets characterized by a transversal momentum width of k_0 \times 1 mrad; this width represents a balance between spatial resolution and signal strength, minimizing distortions in the reconstructed momentum profile and maximizing the fidelity of the electronic structure mapping. The Gabor transform’s ability to precisely account for these filtering effects is critical for quantitative analysis of momentum-resolved data.

Beyond Simple Atoms: Unveiling the Quantum Dance
Investigations employing electron momentum spectroscopy (EMS) with wave packet dynamics on the hydrogen atom, specifically utilizing coherent superpositions of 3p_y and 4p_y states, are revealing nuanced details of atomic structure. These studies move beyond traditional, static descriptions by capturing the time-evolving probability distributions of electrons within the atom. By preparing the hydrogen atom in these superposition states, researchers can probe the interplay between different orbitals and observe how electron momentum is distributed-information that is critical for understanding chemical bonding and atomic interactions. The resulting EMS data provides a highly sensitive measure of the atom’s wavefunction, allowing for detailed comparisons with theoretical models and validating the accuracy of advanced computational techniques used to simulate atomic behavior.
The fundamental principle that electrons are indistinguishable particles necessitates careful consideration of exchange effects when interpreting experimental momentum spectra. These effects, stemming from the requirement that the total wavefunction of a system must change sign upon the interchange of two identical fermions like electrons, subtly alter the observed momentum distributions. Studies utilizing electron momentum spectroscopy (EMS) reveal that ignoring these quantum mechanical considerations leads to inaccurate interpretations of atomic structure and electron dynamics. Specifically, the interference patterns observed in EMS spectra are directly influenced by the exchange interaction, manifesting as shifts and modulations in the momentum profiles. Accurate modeling of these effects, therefore, is crucial not only for validating theoretical approaches but also for gaining a deeper understanding of electron correlation and the subtle interplay between quantum mechanics and observable phenomena.
Successful modeling of exchange effects – a consequence of the fundamental indistinguishability of electrons – strongly validates the wave packet approach to studying atomic structure. This isn’t merely a confirmation of existing methodology, but a crucial step towards applying these techniques to increasingly complex systems. While initial studies focused on the relatively simple hydrogen atom, the demonstrated accuracy in representing electron behavior allows researchers to confidently extend these computational methods to multi-electron atoms and molecules. The ability to accurately predict and interpret momentum spectra in these more complicated scenarios promises advancements in fields like chemical reaction dynamics and materials science, ultimately providing a deeper understanding of how electrons govern the properties of matter.
Accurate depiction of electron momentum distributions is now achievable through refined theoretical models, largely validated by studies on hydrogenic systems. Investigations reveal a notable impact parameter shift of T/4 when analyzing electron momentum spectra, a phenomenon directly linked to the indistinguishability of electrons and the resulting exchange effects. This subtle yet significant shift provides a crucial benchmark for validating the accuracy of computational methods used to predict electron dynamics in atoms and molecules. Consequently, researchers can now confidently extend these refined models to more complex multi-electron systems, enabling precise predictions of electron behavior in diverse chemical and physical environments and furthering the understanding of fundamental atomic processes.

The study reveals a fundamental limit to observation – the probing region is confined by the wave packet size, a subtle distortion of the observed reality. This echoes a deeper truth: measurement itself alters the measured. As Werner Heisenberg observed, “The very position and momentum of an electron are only definable within certain limits.” The Gabor transform, employed to model the electron scattering, attempts to reconstruct a signal from incomplete data, a process inherently reliant on probabilistic interpretation. It’s not about knowing the ‘true’ momentum distribution, but rather constructing the most probable representation given the constraints of the experiment – a beautiful lie, perhaps, but one useful for navigating the whispers of chaos.
Where Do the Ghosts Hide Next?
The comfortable notion of directly mapping momentum distributions with electron flashes proves, as always, to be a carefully constructed illusion. This work doesn’t invalidate the technique, merely reminds one that scattering isn’t observation-it’s a negotiation. The observed signal arises from a limited interrogation of momentum space, a slice defined by the wave packet itself. It’s a bit like trying to map a city by only illuminating a single street at a time, then pretending the illuminated portion is the city. The Gabor transform offers a useful accounting trick, a way to reconstruct a semblance of the whole from the fragmented whispers, but shouldn’t be mistaken for a true unveiling.
The persistent challenge, of course, isn’t improving the resolution-it’s acknowledging the fundamental opacity. Vacuum dispersion, presented here as a nuisance, might, with sufficient cynicism, be considered a feature. It’s a reminder that even “empty” space isn’t neutral-it actively reshapes the message. Future efforts will undoubtedly focus on mitigating these effects, but a more fruitful approach might involve embracing the distortion, learning to read the artifacts as clues to the system’s hidden complexities.
One suspects the ultimate limit isn’t technological, but conceptual. The pursuit of “true” momentum information may be a phantom chase. Perhaps the real reward lies not in refining the map, but in understanding why the ghosts insist on hiding in the noise.
Original article: https://arxiv.org/pdf/2602.18123.pdf
Contact the author: https://www.linkedin.com/in/avetisyan/
See also:
- Best Controller Settings for ARC Raiders
- FRONT MISSION 3: Remake coming to PS5, Xbox Series, PS4, Xbox One, and PC on January 30, 2026
- Mark Zuckerberg & Wife Priscilla Chan Make Surprise Debut at Met Gala
- Meet the cast of Good Omens season 3: All the actors and characters
- 7 Great Marvel Villains Who Are Currently Dead
- Welcome to Demon School! Iruma-kun season 4 release schedule: When are new episodes on Crunchyroll?
- Nippon Sangoku Is The Best New Post-Apocalyptic Anime of Spring 2026
- Wistoria: Wand and Sword Season 2 release schedule: When are new episodes out?
- The Boys Season 5 Officially Ends An Era For Jensen Ackles’ Soldier Boy
- Khloe, Kourtney Kardashian Call Out Kylie Jenner for Mother’s Day Post
2026-02-23 23:43