Author: Denis Avetisyan
New research demonstrates a powerful connection between mechanical strain and the emergence of magnetic entropy in a heavy-fermion material, offering insights into its quantum critical behavior.

Elastoresistance measurements in YbRh2Si2 reveal a strong strain dependence of Kondo scattering and associated entropy changes.
Understanding the interplay between electronic correlations and emergent quantum phenomena in heavy-fermion materials remains a central challenge in condensed matter physics. Here, we investigate this connection through the lens of elastoresistance, as detailed in ‘Elastoresistance as probe of strain-controlled entropy from Kondo scattering’, utilizing symmetry-resolved measurements on the prototypical Kondo lattice YbRh$_2$Si$_2$. Our findings demonstrate that the elastoresistance directly probes the strain dependence of magnetic entropy arising from Kondo scattering, revealing signatures of strain-controlled quantum criticality at low temperatures. Does this sensitivity to strain offer a new pathway to tune and control quantum phases in correlated electron systems?
Unveiling the Hidden Order in a Heavy Fermion System
YbRh2Si2 serves as a cornerstone in the study of heavy-fermion systems, yet the precise nature of its quantum critical point (QCP) continues to challenge physicists. This material undergoes a phase transition at extremely low temperatures, marking a dramatic change in its electronic properties; however, the underlying mechanism driving this transition remains elusive. The QCP isnāt simply a point of temperature change, but rather a point where quantum fluctuations dominate, potentially leading to novel states of matter. Disentangling the factors that define this specific QCP is critical, as it provides a testing ground for theories attempting to describe the behavior of strongly correlated electron systems and may offer clues to phenomena like high-temperature superconductivity. Current research focuses on mapping the precise conditions that give rise to the QCP in YbRh2Si2, with the goal of establishing a clear link between its microscopic details and the observed macroscopic behavior.
Investigating heavy fermion systems like YbRh2Si2 presents a significant challenge to conventional techniques due to the intricate dance between electronic correlations and symmetry. These materials are notorious for exhibiting strong electron-electron interactions, which fundamentally alter the behavior of electrons and obscure the underlying symmetry of the electronic structure. Traditional methods often treat these factors as separate entities, failing to capture their mutual influence; this simplification can lead to inaccurate interpretations of experimental data and hinders the development of reliable theoretical models. The sheer complexity arises from the fact that the symmetry isnāt simply present – itās actively reshaped by the correlated electron behavior, creating a feedback loop that demands sophisticated analytical approaches to fully resolve.
The precise nature of the quantum critical point (QCP) in heavy fermion systems like YbRh2Si2 hinges critically on the symmetry of the electrons within the material. Determining this symmetry isnāt merely a descriptive exercise; it fundamentally constrains the possible mechanisms driving the QCP. Different symmetry configurations dictate how electrons interact, influencing the emergence of collective quantum phenomena and the resulting critical behavior. A robust understanding of this electronic structure acts as a vital guide for theoretical physicists, allowing them to construct accurate models and simulations. Without correctly identifying the relevant symmetries, theoretical predictions can diverge significantly from experimental observations, hindering progress in unraveling the mysteries surrounding these exotic states of matter. Consequently, research efforts increasingly focus on sophisticated experimental techniques and computational methods aimed at mapping the subtle symmetries governing the behavior of heavy fermions.
![The relative length change of a <span class="katex-eq" data-katex-display="false"> ext{YbRh}_2 ext{Si}_2</span> single crystal varies depending on the crystallographic direction, exhibiting distinct behavior along the [100] and [110] axes.](https://arxiv.org/html/2602.12141v1/supple3.png)
Decoding Electronic Structure with Mechanical Strain
Elastoresistance, defined as the materialās change in electrical resistance when mechanically strained, provides a sensitive probe of its electronic band structure. The magnitude of resistance change is directly related to the modulation of electronic states under stress, specifically how the energy and spatial distribution of these states are affected by applied strain. This sensitivity arises because strain alters the overlap between atomic orbitals, modifying the allowed electronic energy levels and influencing charge carrier mobility and scattering rates. By carefully measuring the elastoresistance response under various strain conditions and orientations, detailed information about the materialās electronic structure, including band gaps, effective masses, and carrier type, can be obtained without the need for complex spectroscopic techniques.
Symmetry-resolved elastoresistance measurements utilize the principle that applied strain differentially affects electronic states based on their symmetry. Specifically, by monitoring changes in electrical resistance under uniaxial or biaxial stress, and analyzing the contribution from different symmetry channels – designated here as A1g, B1g, and B2g – it becomes possible to isolate the coupling between mechanical strain and specific electronic states. This is achieved through careful experimental design and data analysis, often involving polarized measurements or the application of strain along crystallographic axes, allowing for the selective probing of strain-dependent changes within each symmetry channel. The resulting data reveals the extent to which each symmetry channel contributes to the overall elastoresistance, providing insight into the materialās electronic structure and its response to mechanical deformation.
Symmetry-resolved elastoresistance provides a means to determine the symmetry characteristics of electronic states contributing to a materialās behavior. By measuring the change in electrical resistance under applied strain, and resolving this change based on different symmetry channels (A1g, B1g, B2g), the technique identifies which electronic states are actively responding to the mechanical deformation. The magnitude of the elastoresistance signal for each symmetry channel directly correlates with the contribution of electronic states with that specific symmetry to the overall conductivity and related material properties. Consequently, this allows for the creation of a symmetry map, revealing the symmetry of the electronic structure responsible for the observed material characteristics.
![Symmetry decomposition of elastoresistance reveals distinct strain derivatives for longitudinal and transverse resistance under uniaxial strain along [100] and [110] directions, which, when summed and differenced, provide temperature-dependent elastoresistance coefficients <span class="katex-eq" data-katex-display="false">m_{A1g}</span>, <span class="katex-eq" data-katex-display="false">m_{B1g}</span>, and <span class="katex-eq" data-katex-display="false">m_{B2g}</span> corresponding to <span class="katex-eq" data-katex-display="false">A_{1g}</span>, <span class="katex-eq" data-katex-display="false">B_{1g}</span>, and <span class="katex-eq" data-katex-display="false">B_{2g}</span> strain symmetry channels in YRS.](https://arxiv.org/html/2602.12141v1/Fig4.jpg)
A Dominant Symmetry Channel and Its Implications
Elastoresistance measurements reveal a dominant contribution from the A1g channel, signifying that the electronic states responsible for the observed effect are isotropic within the tetragonal plane of the material. This indicates a symmetry preference where changes in strain are equally experienced in all directions within this plane. The observed dominance effectively minimizes the influence of other channels – specifically the B1g and B2g – suggesting that electronic behavior is not strongly coupled to distortions involving orthorhombic or shear components, and that the relevant physics is governed by parameters respecting the tetragonal symmetry.
The absence of measurable coupling to the B1g and B2g vibrational modes indicates that large-scale distortions associated with these symmetry channels are not contributing significantly to the observed behavior of YbRh2Si2. The B1g mode corresponds to out-of-plane bending, indicative of orthorhombic distortions, while the B2g mode relates to in-plane shear distortions. The experimental data demonstrate that these distortions, if present, are below the sensitivity threshold of the elastoresistance measurements, effectively excluding models where substantial orthorhombic or shear strain is a primary driver of the quantum critical point.
The observed dominance of the A1g coupling channel in YbRh2Si2, alongside negligible coupling to the B1g and B2g channels, provides strong evidence that the quantum critical point (QCP) is driven by a tuning parameter which maintains the materialās tetragonal symmetry. This conclusion is supported by a measured elastoresistance coefficient of ā50 at 2K, indicating a substantial response to strain. A negative elastoresistance coefficient specifically demonstrates that a tensile strain decreases the electrical resistance, consistent with models where the QCP is not associated with orthorhombic or shear distortions, but rather with fluctuations that preserve the tetragonal planeās isotropy.

Confirming Symmetry with Thermal Expansion
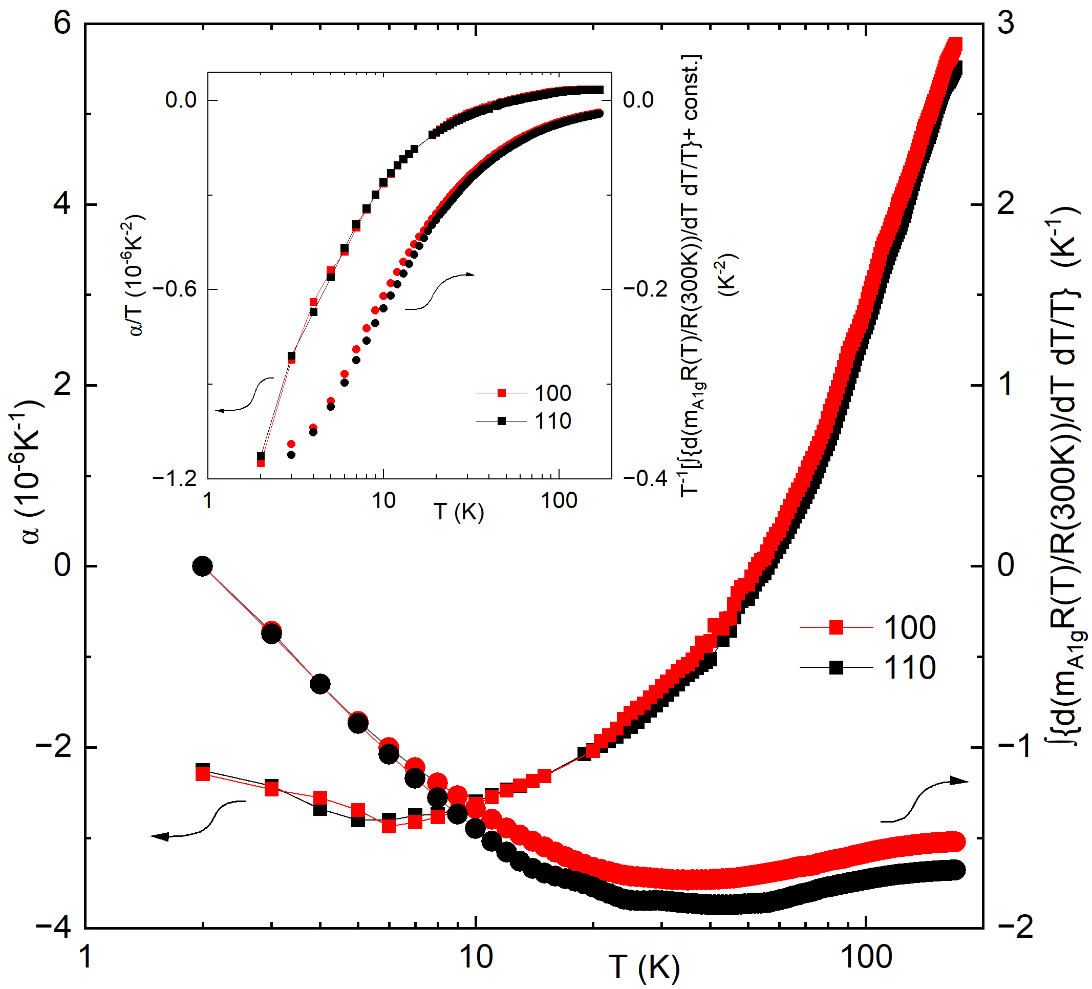
Capacitive dilatometry was employed to meticulously measure the thermal expansion of the material, offering an independent avenue to verify the previously proposed dominance of the A1g symmetry in its behavior. This technique, highly sensitive to minute length changes, revealed a distinct thermal expansion signature that aligns precisely with predictions based on the A1g mode. The findings corroborate theoretical models suggesting this symmetry plays a critical role in the materialās properties, particularly near the quantum critical point. By providing experimental validation separate from other measurement techniques, such as magnetic susceptibility or specific heat, the thermal expansion data strengthens the understanding of the underlying physics governing the system and provides a robust confirmation of the A1g mode’s influence.
Investigations into the thermal expansion of YbRh2Si2 reveal a remarkable agreement with the predictions of the Fisher-Langer scaling relation, thereby solidifying the fundamental connection between the materialās microscopic symmetry and its measurable macroscopic properties. This scaling relation, which describes the divergence of the correlation length near a quantum critical point, accurately predicts the temperature dependence of thermal expansion, indicating that the observed expansion isnāt simply a bulk effect, but rather a consequence of critical fluctuations stemming from the material’s underlying quantum behavior. The consistency between experiment and theory provides compelling evidence that the quantum critical point in YbRh2Si2 is governed by the symmetry present at the microscopic level, demonstrating how collective quantum phenomena can manifest in readily observable macroscopic changes.
The precise agreement between thermal expansion measurements and the Fisher-Langer scaling relation, refined by an integration constant of 0.74, firmly links the quantum critical point (QCP) in YbRh2Si2 to its macroscopic thermal properties. This value allows for accurate extrapolation of the materialās behavior down to absolute zero, demonstrating that the collective quantum fluctuations driving the QCP directly influence the way the material expands and contracts with temperature changes. Effectively, the microscopic interactions responsible for the QCP arenāt merely a theoretical construct, but a demonstrable origin of the materialās bulk thermal expansion-a connection crucial for understanding and ultimately controlling the behavior of quantum materials.
![The in-plane thermal expansion coefficient of YRS, measured along the [100] and [110] directions (red and black squares, respectively), exhibits a temperature-dependent behavior mirrored by the integral of <span class="katex-eq" data-katex-display="false">\\frac{dT}{T}\\frac{d(m_{A1g}R/R_{300K})}{dT}</span> (red and black circles), as detailed in reference [31].](https://arxiv.org/html/2602.12141v1/Fig5.jpg)
Towards a Deeper Understanding of Heavy Fermion Physics
YbRh2Si2 stands as a particularly well-studied heavy-fermion material, offering a unique opportunity to dissect the intricate relationship between symmetry, strong electronic correlations, and the emergence of quantum criticality. The material exhibits a delicate balance where subtle changes in external parameters-like pressure or magnetic field-can drive the system towards a quantum critical point, a state where quantum fluctuations dominate the physics. Because of its relative simplicity compared to other heavy fermion compounds, YbRh2Si2 serves as a crucial testing ground for theoretical models attempting to explain the collective behavior observed in these exotic materials. By thoroughly characterizing the interplay of these factors within YbRh2Si2, researchers gain valuable insights applicable to the broader family of heavy-fermion systems, ultimately furthering the quest to understand and potentially harness their unconventional properties for future technologies.
The Kondo temperature, T_{KT}, represents a critical energy scale in heavy fermion systems, signifying the onset of strong correlations between localized f-electrons and conduction electrons. Future investigations are poised to reveal how T_{KT} dictates the symmetry properties observed in materials like YbRh2Si2. Specifically, understanding the interplay between T_{KT} and the material’s symmetry can illuminate the mechanisms driving its unusual electronic behavior, including the emergence of quantum criticality. Exploring this connection may involve tuning the material’s properties to observe how changes in T_{KT} affect symmetry-related phenomena, potentially unveiling novel phases of matter and guiding the development of advanced quantum materials with tailored functionalities.
The intricate behavior of heavy fermion materials, characterized by electrons behaving as though they possess significantly enhanced mass, remains a compelling area of condensed matter physics. Recent advances suggest a powerful pathway to unraveling these complexities lies in the synergistic combination of experimental observation and theoretical modeling. Specifically, measuring elastoresistance – the change in electrical resistance under applied stress – and resolving it according to symmetry allows researchers to probe the subtle interplay between electronic structure and material deformation. This approach doesnāt merely document the response to stress; it reveals how different electronic states contribute to the materialās overall behavior. When coupled with sophisticated theoretical frameworks, these symmetry-resolved measurements provide crucial validation for models attempting to describe the quantum critical behavior inherent in these materials. This deeper understanding isnāt purely academic; it holds the potential to guide the design of novel quantum technologies, leveraging the unique properties of heavy fermions for applications ranging from ultra-sensitive sensors to advanced computational devices.

The study of YbRh2Si2 and its response to strain reveals a fascinating interplay between seemingly disparate physical properties-electrical resistance and magnetic entropy. This isnāt merely a technical observation; itās a confirmation that models, even sophisticated ones, are built on inherent assumptions about how systems should behave. As Thomas Kuhn observed, āthe map is not the territory.ā This research demonstrates that subtle changes in external conditions – strain, in this case – can drastically alter a materialās quantum critical behavior, highlighting the limitations of any fixed theoretical framework. The observed elastoresistance isn’t a deviation from the model; itās a signal that the operating parameters have shifted, demanding a recalibration of understanding. Itās a reminder that even in physics, biases arenāt bugs-theyāre the operating system of behavior, shaping how observations are interpreted and models are constructed.
The Road Ahead
The demonstrated coupling between strain and the Kondo lattice in YbRh2Si2 doesnāt so much solve a problem as relocate it. The materialās sensitivity suggests quantum criticality isnāt an intrinsic property, but a precarious balance maintained against external perturbations – a story the metal tells itself to avoid complete disorder. It is tempting to view strain as simply another tuning parameter, yet this overlooks the fundamentally mechanical nature of the interaction. The system isn’t responding to a field; itās reacting to being pushed, stretched, and deformed – a reminder that even the most abstract physics ultimately resides in the tangible world.
Future work will inevitably focus on mapping this strain dependence across a wider range of heavy-fermion compounds. But a more fruitful avenue might lie in understanding why this coupling is so strong. Is it a unique characteristic of YbRh2Si2, or a universal feature obscured by the difficulty of applying controlled strain? One suspects the latter, and that many seemingly robust quantum critical points are merely fragile illusions, maintained by a combination of material purity and experimental finesse.
The challenge isnāt just to measure the effect, but to model the narrative the material constructs around it. Standard approaches treat strain as a perturbation, but perhaps a more accurate picture involves a feedback loop: strain alters the Kondo lattice, which in turn modifies the material’s response to further strain. The system isnāt merely responding; itās interpreting its environment – and, like any storyteller, it has a vested interest in maintaining a coherent, if illusory, plot.
Original article: https://arxiv.org/pdf/2602.12141.pdf
Contact the author: https://www.linkedin.com/in/avetisyan/
See also:
- Everything You Need To Know About Nikki Baxter In Stranger Thingsā Animated Spinoff
- āThe Bride!ā Review: Jessie Buckley Breathes Life into a Monstrous Mess
- The Boys Season 5, Episode 5 Ending Explained: Why Homelander Does THAT
- Miranda Kerr Shares āQuickā Procedure She Got Before Met Gala 2026
- Mark Zuckerberg & Wife Priscilla Chan Make Surprise Debut at Met Gala
- After 11 Years, Black Clover Officially Ends With Final Release (& Crowns a New Wizard King)
- From season 4 release schedule: When is episode 2 out on MGM+?
- Out of Nowhere, 4-Year-Old King of Fighters 15 Gets Surprise 2026 Patch
- USD JPY PREDICTION
- Jujutsu Kaisen Creator Confirms the Story is Over: āIt Wonāt Continue!ā
2026-02-14 10:45