Author: Denis Avetisyan
Atomic and molecular spectroscopy are emerging as powerful tools to explore phenomena beyond our current understanding of the universe.

This review details how precision measurements using spectroscopic techniques constrain models of dark matter interactions and new force mediators.
Despite the remarkable success of the Standard Model, fundamental questions regarding dark matter and the nature of new interactions remain unanswered. This review, ‘Atomic Spectroscopy Probes of New Physics’, surveys the burgeoning field of precision spectroscopy as a powerful tool to search for physics beyond this established framework. By exploiting exquisitely sensitive atomic and molecular measurements, researchers are establishing stringent constraints on models predicting feeble couplings between visible matter and hidden sectors, particularly those mediated by new force carriers. Can these spectroscopic approaches reveal the first direct evidence of interactions beyond the Standard Model and illuminate the composition of the dark universe?
The Incompleteness of Established Models
Despite its extraordinary predictive power, the Standard Model of particle physics remains incomplete. Phenomena like the nature of dark matter and dark energy, the observed mass of neutrinos, and the matter-antimatter asymmetry of the universe all lie outside its explanatory scope. Furthermore, the model offers no insight into the origin of its own parameters – the fundamental constants that dictate the strengths of the forces and the masses of the particles. These unanswered questions strongly suggest the existence of ‘New Physics’ – undiscovered particles and interactions that extend beyond the currently accepted framework. The search for this New Physics isn’t a quest to disprove the Standard Model, but rather to find the more complete theory that encompasses it, resolving these persistent mysteries and providing a deeper understanding of the fundamental laws governing the cosmos.
The search for physics beyond the Standard Model necessitates a dramatic increase in the precision of spectroscopic measurements. Scientists are now striving to measure atomic and molecular transitions with accuracies ranging from 10-15 to 10-12, a feat requiring innovative techniques to isolate and analyze exceedingly subtle shifts in energy levels. These minute variations, potentially induced by hypothetical particles or forces not accounted for in the Standard Model, serve as fingerprints of ‘New Physics’. Achieving this level of precision demands not only improvements in laser stabilization and frequency control, but also the development of novel methods to minimize systematic errors and accurately model complex atomic and molecular structures. This push towards ever-finer measurements represents a frontier in experimental physics, where the smallest details may hold the key to unlocking a deeper understanding of the universe.
The search for physics beyond the Standard Model is frequently bottlenecked not by a lack of theoretical ideas, but by the inherent limitations of current experimental capabilities. Existing bounds on potential new particles and interactions are often dictated by the precision achievable with spectroscopic tools and the sensitivity of detection methods. Even subtle systematic errors or instrumental noise can obscure potential signals, effectively masking evidence of ‘New Physics’. Consequently, improvements in measurement precision – striving for resolutions of 10^{-{15}} to 10^{-{12}} in atomic and molecular transitions – are paramount. These advancements aren’t merely about building better instruments; they necessitate innovative techniques for minimizing uncertainty and extracting meaningful data from exceedingly faint signals, ultimately determining how far beyond established physics the current frontiers can reach.
The pursuit of physics beyond the Standard Model hinges critically on advancements in precision measurement technologies. Existing theoretical frameworks, while incredibly accurate in many predictions, fail to account for phenomena like dark matter and dark energy, suggesting the presence of undiscovered particles or interactions. Detecting these subtle effects requires spectroscopic techniques refined to an extraordinary degree – achieving resolutions of 10^{-{15}} to 10^{-{12}} in the analysis of atomic and molecular transitions. This isn’t merely about building more powerful instruments; it demands novel approaches to minimize systematic errors and enhance signal sensitivity. Breakthroughs in laser stabilization, atomic trapping, and advanced data analysis are therefore essential, effectively acting as a magnifying glass to reveal the faint fingerprints of new physics and potentially rewrite the foundations of particle physics.

Spectroscopic Probes of Fundamental Interactions
Atomic and molecular spectroscopy provide methods for testing the consistency of fundamental physical constants and the validity of theoretical models. By precisely measuring spectral lines – the frequencies of light absorbed or emitted by atoms and molecules – physicists can derive values for constants like the fine-structure constant α and test the predictions of quantum electrodynamics (QED). Deviations between experimental measurements and theoretical predictions could indicate new physics beyond the Standard Model, such as the existence of extra dimensions or variations in fundamental constants over time. These spectroscopic techniques are sensitive to a range of interactions, including electromagnetic, relativistic, and nuclear effects, allowing for stringent tests of established physical laws and the potential discovery of new phenomena. The precision achieved in spectroscopic measurements is often limited by factors such as line broadening and systematic uncertainties, which are continually being addressed through technological advancements and improved experimental designs.
Utilizing highly charged ions (HCIs) in spectroscopic measurements significantly enhances sensitivity by increasing the strength of relativistic effects and quantum electrodynamic (QED) interactions. The increased nuclear charge experienced by electrons in HCIs leads to larger energy level shifts and splittings, which are directly proportional to Z^4 (where Z is the atomic number). This amplification allows for more precise determination of fundamental constants and tests of theoretical predictions, as even minute deviations from expected values become measurable. Furthermore, the enhanced interaction strengths reduce the relative impact of experimental uncertainties, improving the signal-to-noise ratio and overall precision of spectroscopic analyses. The technique is particularly valuable when probing subtle effects predicted by QED, such as the anomalous magnetic dipole moment and vacuum polarization.
Isotopic variation significantly enhances spectroscopic sensitivity and reduces measurement uncertainties by exploiting differences in nuclear mass. Utilizing different isotopes of the same element alters the reduced mass of molecular systems, leading to measurable shifts in spectral lines. These shifts, predictable through calculations of isotopic effects, provide a means to verify theoretical models and refine fundamental constants. Furthermore, employing stable, non-radioactive isotopes minimizes systematic errors associated with decay processes and simplifies data analysis. The increased mass difference between heavier isotopes also amplifies these spectral shifts, making them more readily detectable with current instrumentation and improving the precision of spectroscopic measurements.
Optical and nuclear clocks represent a significant advancement in precision metrology, enabling frequency measurements with unprecedented time resolution. Traditional atomic clocks, based on microwave transitions, are limited by their inherent instability and achievable accuracy. Optical clocks utilize much higher frequency transitions in visible or near-infrared light, typically employing trapped ions or neutral atoms, achieving fractional frequency uncertainties on the order of 10^{-{18}} or better. Nuclear clocks, leveraging transitions within atomic nuclei – specifically magnetic dipole or electric quadrupole transitions – offer the potential for even greater precision, though currently face challenges in practical implementation. These advancements directly benefit spectroscopic techniques by providing a more stable and accurate frequency reference, allowing for the detection of smaller energy level shifts and improved sensitivity in fundamental constant measurements and searches for new physics.

Constraining Beyond-the-Standard-Model Parameters
Spectroscopic constraints, obtained from high-precision measurements of atomic energy levels and transition frequencies, rigorously test the validity of physics beyond the Standard Model. These measurements are sensitive to subtle deviations from predicted values, arising from interactions with hypothetical particles or forces not currently accounted for. By comparing experimental results with theoretical calculations incorporating beyond-the-Standard-Model (BSM) effects, physicists can establish stringent limits on the parameters governing these new interactions. The precision achievable in modern spectroscopy – often reaching parts-per-billion or better – allows for the probing of extremely weak interactions and the exclusion of large regions of parameter space for various BSM scenarios, effectively narrowing the possibilities for new physics models. These constraints are model-independent in the sense that they are derived from fundamental physical principles and do not rely on specific assumptions about the nature of the new physics, offering a powerful tool for exploring the unknown.
Effective Field Theory (EFT) serves as a systematic approach to analyze precision spectroscopic constraints by parameterizing deviations from Standard Model predictions. Rather than directly searching for new particles, EFT focuses on low-energy manifestations of high-energy physics through the introduction of higher-dimensional operators. These operators, suppressed by a characteristic energy scale Λ, represent the effects of unknown heavy particles or interactions. By fitting the coefficients of these operators to experimental data – such as atomic transition frequencies and polarizabilities – EFT provides model-independent limits on the strength of new interactions and constrains the possible values of Λ. This allows for the interpretation of experimental results in terms of underlying new physics, even without a specific model being assumed, and facilitates comparison between different theoretical frameworks.
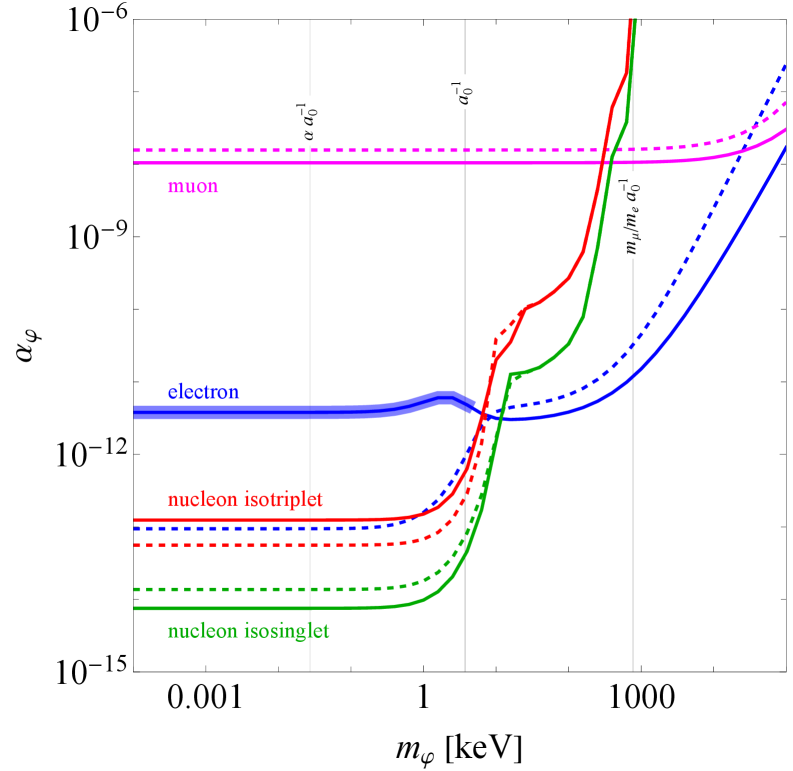
Atomic polarizability, a measure of how easily the electron cloud of an atom is distorted by an electric field, provides a sensitive probe for interactions beyond the Standard Model. Deviations from predicted polarizability values, calculated using established quantum electrodynamics (QED) frameworks, indicate the presence of new forces or particles influencing the atomic structure. Specifically, new interactions can manifest as corrections to the atomic energy levels, which are directly related to polarizability measurements. By precisely measuring the polarizability of various atomic species-such as Yb171, Sr87, and Ba137-researchers can constrain the coupling strengths and masses of hypothetical particles, including dark photons and scalar bosons, offering an independent verification of limits derived from other experimental approaches.
Precision spectroscopic measurements have constrained the allowable parameter space for several hypothetical particles beyond the Standard Model, including the Dark Photon, Higgs Portal Scalar, Featheron Scalar, and B-L Gauge Boson. Analysis of these constraints reveals potential excesses – statistically significant deviations from expected values – specifically within Higgs portal and featheron scalar models. The observed excess currently reaches a statistical significance of 2.6σ, indicating a preliminary but noteworthy signal that warrants further investigation to confirm or refute the presence of these particles and refine the understanding of their properties.
Probing Fundamental Symmetries and Unresolved Questions
CP violation, or the subtle asymmetry between matter and antimatter, stands as one of the most compelling arguments for physics extending beyond the Standard Model. This phenomenon, first observed in the decay of kaons, demonstrates that nature does not treat particles and their antiparticles identically, a prediction not inherent within the simplest formulations of particle physics. The observed imbalance is crucial, as a perfect symmetry would have resulted in complete annihilation of matter and antimatter in the early universe, leaving nothing to form the galaxies, stars, and ultimately, life as we know it. Consequently, physicists actively seek to understand the origins and mechanisms driving CP violation, exploring new particles and interactions that could account for the observed matter-antimatter asymmetry and deepen the understanding of fundamental forces.
Precision spectroscopy offers a uniquely sensitive approach to uncovering physics beyond the Standard Model by meticulously analyzing the energy levels of atoms and molecules. This technique doesn’t seek direct particle detection, but rather probes for minute deviations from predicted spectra-deviations potentially caused by interactions violating charge-parity (CP) symmetry. New physics models often predict subtle CP-violating effects that manifest as tiny shifts in atomic energy levels, and these shifts, though incredibly small, can be detected with highly precise spectroscopic measurements. By carefully mapping these energy levels, physicists can effectively search for “fingerprints” of new particles or interactions that aren’t accounted for in current theoretical frameworks, providing an indirect but powerful method for expanding our understanding of the fundamental forces and constituents of the universe.
The persistent search for novel interactions and particles stems from fundamental, unresolved questions plaguing both particle physics and cosmology. The Standard Model, while remarkably successful, fails to account for gravity, the nature of dark matter and dark energy, or the observed matter-antimatter asymmetry in the universe. Consequently, physicists are actively pursuing evidence for particles and forces beyond this established framework, hoping to address these cosmological mysteries and refine the understanding of the universe’s earliest moments. This endeavor involves increasingly sophisticated experiments – from high-energy colliders probing for new particle production to precision measurements seeking deviations from predicted behavior – all motivated by the conviction that a more complete theory awaits discovery, one that reconciles the quantum realm with the large-scale structure of the cosmos and explains the very existence of everything we observe.
The relentless pursuit of increasingly precise measurements isn’t merely a technical exercise; it represents a fundamental shift in how physicists probe the universe. Each decimal place gained in experiments – whether examining the properties of particles or the vastness of cosmological phenomena – effectively expands the scope of testable theories. These advancements demand innovation in detector technology, data analysis, and theoretical modeling, simultaneously refining existing frameworks and exposing potential discrepancies. Such meticulous work doesn’t simply confirm established laws; it reveals the subtle cracks where new physics might reside, potentially unlocking answers to questions about dark matter, dark energy, and the origins of the cosmos, and ultimately deepening the comprehension of the fundamental forces that govern reality.
The pursuit of new physics, as detailed in this exploration of atomic spectroscopy, demands a rigorous framework for interpreting experimental results. It is not merely sufficient to observe deviations from established theory; one must possess the analytical tools to definitively categorize and understand these anomalies. As Thomas Kuhn observed, “The more revolutionary the paradigm shift, the more resistant it will be.” This resistance stems not from a lack of evidence, but from the inherent difficulty in discarding a logically sound, albeit incomplete, model. The paper’s focus on precision measurements, seeking subtle interactions beyond the Standard Model, exemplifies this challenge – demanding unwavering mathematical discipline to discern genuine signals from statistical noise, and to establish the validity of any proposed paradigm shift.
What Lies Beyond?
The pursuit of new physics via spectroscopic interrogation rests upon a fundamental, and often unstated, assumption: that deviations from the Standard Model, if they exist, will manifest as subtle alterations to established physical laws. The elegance of this approach-seeking the cracks in a seemingly perfect edifice-is undeniable. However, the limitations are equally stark. Current constraints, derived from increasingly precise measurements, primarily address simplified interaction models. The parameter space remains vast, and the assumption of minimal coupling, while pragmatic, may prove a restrictive artifact of the methodology.
Future progress necessitates a shift towards more complex theoretical frameworks, capable of predicting observable signatures from a broader range of potential mediators and interactions. The true test lies not merely in refining existing constraints, but in developing novel spectroscopic techniques sensitive to interaction types currently beyond reach. Molecular spectroscopy, in particular, offers a potentially fertile ground for exploration, its inherent complexity offering both challenges and opportunities.
Ultimately, the field’s advancement hinges on a willingness to embrace mathematical rigor. To chase fleeting anomalies without a provable theoretical foundation is, at best, a statistical exercise. The goal is not merely to find new physics, but to understand it – to distill the universe’s hidden rules into a consistent, mathematically beautiful form.
Original article: https://arxiv.org/pdf/2602.20750.pdf
Contact the author: https://www.linkedin.com/in/avetisyan/
See also:
- Best Controller Settings for ARC Raiders
- FRONT MISSION 3: Remake coming to PS5, Xbox Series, PS4, Xbox One, and PC on January 30, 2026
- Meet the cast of Good Omens season 3: All the actors and characters
- Mark Zuckerberg & Wife Priscilla Chan Make Surprise Debut at Met Gala
- Review: Final Fantasy Tactics: The Ivalice Chronicles (PS5) – Still the Benchmark for Turn-Based Tactics
- Nippon Sangoku Is The Best New Post-Apocalyptic Anime of Spring 2026
- 7 Great Marvel Villains Who Are Currently Dead
- Welcome to Demon School! Iruma-kun season 4 release schedule: When are new episodes on Crunchyroll?
- Wistoria: Wand and Sword Season 2 release schedule: When are new episodes out?
- Elon Musk’s Mom Maye Musk Shares Her Parenting Philosophy
2026-02-25 07:42