Author: Denis Avetisyan
A new theoretical framework details how intense, few-femtosecond light pulses interact with transparent conducting oxides, revealing a surprising dominance of absorption over emission.

This work presents an energy-space formulation of the Maxwell-Bloch equations to model the nonlinear optical response of Drude metals with non-parabolic conduction bands, highlighting the role of excited state absorption in ultrafast electron dynamics.
Understanding the nonlinear optical response of materials to ultrashort pulses remains challenging, particularly for complex Drude metals with non-parabolic bands. This work presents a quantum-optical theory-‘Quantum-optical theory of the few femtosecond nonlinear optical response of Drude metals with a non-parabolic conduction band’-employing an energy-space density matrix formulation to model interactions with intense, few-cycle pulses. Our results reveal that excited-state absorption dominates the nonlinear response in transparent conducting oxides, surpassing spontaneous emission, and is strongly influenced by pump pulse characteristics. How might these findings inform the design of novel ultrafast optoelectronic devices leveraging strong light-matter interactions?
Beyond Linearity: Unveiling Complex Interactions in Indium Tin Oxide
The interaction of light with materials like Indium Tin Oxide (ITO), commonly used in touchscreens and solar cells, isn’t a simple, proportional relationship; it’s deeply nonlinear. This means the material’s response to light doesn’t increase linearly with the light’s intensity, creating complex behaviors that are crucial for device functionality. Capturing these strong nonlinearities in simulations, however, presents a formidable computational challenge. Traditional methods rely on approximations that become increasingly inaccurate-and exponentially more expensive-as the nonlinearity intensifies. Accurately modeling these effects requires accounting for the intricate interplay of electrons within the material, a task that quickly overwhelms even the most powerful computing resources. Consequently, researchers are actively exploring novel computational techniques to efficiently and reliably predict the optical properties of these technologically important materials, pushing the boundaries of materials modeling and computational physics.
Computational approaches like Time-Dependent Density Functional Theory (TDDFT) are foundational for simulating how light interacts with materials, but their effectiveness faces limitations when confronted with strong nonlinear optical responses. The computational cost of TDDFT scales dramatically – often exponentially – with the complexity of these interactions, requiring immense processing power and memory to achieve accurate results. This prohibitive expense arises from the need to self-consistently solve equations for many interacting electrons, a task that quickly becomes intractable even for modestly sized systems exhibiting significant nonlinearity. Consequently, researchers face a critical bottleneck in modeling materials like indium tin oxide (ITO), hindering the design and optimization of advanced optical devices that rely on precise control of light-matter interactions.
The performance of cutting-edge optical devices – from efficient solar cells to high-speed data transmission systems – is intrinsically linked to the precise control of light within materials like Indium Tin Oxide (ITO). Achieving optimal functionality demands a deep understanding of how light interacts with these materials, and crucially, how those interactions change under varying light intensities. Accurate computational modeling, therefore, isn’t merely an academic exercise; it’s a vital step in tailoring material properties for specific device applications. By simulating light propagation and energy transfer, researchers can proactively identify and mitigate performance bottlenecks, designing materials with enhanced light absorption, improved conductivity, and ultimately, greater efficiency. This predictive capability drastically reduces the need for costly and time-consuming trial-and-error fabrication processes, accelerating the development of next-generation optical technologies.

Shifting the Perspective: An Energy-Based Computational Strategy
The Energy-Space Formulation represents a computational shift from describing electron behavior in momentum space – defined by \hbar k , where k is the wavevector – to energy space, utilizing the electron’s energy E as the primary independent variable. This transformation simplifies calculations because many physical observables and interactions are directly related to energy rather than momentum. Traditional momentum-space methods require discretizing a large momentum range to accurately represent electron states, leading to high computational demands. By operating in energy space, the formulation focuses calculations on the relevant energy levels and transitions, effectively reducing the dimensionality of the problem and computational complexity. This is particularly advantageous for systems with broad momentum distributions or where energy is a more natural coordinate for describing the relevant physics.
Integrating the Energy-Space Formulation with the Maxwell-Bloch equations enables a computationally efficient method for simulating electron state dynamics. Traditional momentum-space formulations require tracking the evolution of wavefunctions in k-space, scaling with the number of momentum points. The combined approach, however, operates in energy space, reducing computational demands by focusing on energy-resolved interactions and significantly decreasing the number of variables needing explicit time propagation. This simplification stems from representing the system’s state using energy-dependent density matrices, which evolve according to the Maxwell-Bloch equations, resulting in a demonstrable reduction in computational cost for simulating light-matter interactions compared to conventional methods.
Analyzing light-matter interactions with an energy-resolved approach provides enhanced insight into the fundamental physical processes at play. This methodology involves categorizing interactions based on the energy exchanged between photons and the material’s electrons, allowing for the identification of specific transitions and their corresponding rates. By isolating interactions according to energy, researchers can more accurately determine the contributions of various electronic states to the overall response, including resonant and non-resonant processes. This detailed analysis facilitates the characterization of material properties such as absorption spectra, emission rates, and carrier dynamics, ultimately providing a more complete and nuanced understanding of the underlying physics than methods that do not prioritize energy-specific analysis.

Dissecting the Interactions: Electron Dynamics Within Indium Tin Oxide
Within Indium Tin Oxide (ITO), the interaction of photons with conduction electrons is not a direct process but occurs via multiple collision mechanisms. Electron-Phonon Collisions involve the scattering of electrons by lattice vibrations (phonons), dissipating energy and limiting electron mean free path. Electron-Impurity Collisions arise from scattering events with defects and impurities within the ITO material, further reducing electron mobility and contributing to energy loss. Finally, Electron-Electron Collisions occur between the excited electrons themselves, establishing a quasi-equilibrium distribution and influencing the overall relaxation rate. The frequency of these collisions is dependent on the electron energy, temperature, and defect density within the ITO film, collectively dictating the material’s electrical and optical properties.
Collisional processes within Indium Tin Oxide (ITO) directly affect the rate at which excited electrons return to their ground state, a phenomenon known as relaxation. Specifically, electron-phonon, electron-impurity, and electron-electron collisions dissipate energy from the excited electron, reducing its lifetime and influencing the probabilities of both absorption and stimulated emission. A faster relaxation rate, induced by increased collision frequency, results in a diminished lifetime of the excited state and a corresponding reduction in stimulated emission efficiency. Conversely, fewer collisions prolong the excited state, potentially enhancing stimulated emission. The wavelengths at which absorption and stimulated emission occur are also affected by these collisions, as the energy lost during collisions alters the energy levels involved in these transitions.
The Drude model, a classical theory describing the behavior of electrons in materials, effectively approximates electron conduction within Indium Tin Oxide (ITO). This model treats electrons as a “free electron gas” subject to collisions, allowing for the calculation of key parameters like electron mobility μ and relaxation time τ. These parameters directly influence ITO’s conductivity and, crucially, its optical properties. Specifically, the Drude model predicts the frequency-dependent complex conductivity, which governs the material’s absorption and reflection of light. By relating the material’s electrical conductivity σ to its dielectric function \epsilon(\omega), the Drude model provides a foundational framework for interpreting ITO’s macroscopic optical response, including its characteristic infrared and visible light transmission and reflectance.

Harnessing Nanoscale Control: Local Fields and Emerging Nonlinearities
The unique geometry of indium-tin-oxide nanospheres actively concentrates electromagnetic fields at specific locations on the particle surface. This phenomenon, known as local field enhancement, arises from the nanosphere’s ability to confine and amplify incident light. As light interacts with the nanostructure, electrons within the material experience a significantly intensified electromagnetic force, boosting the interaction between photons and the material’s electronic states. This amplification isn’t simply a matter of increased intensity; it fundamentally alters the way light and matter interact, creating conditions where nonlinear optical effects – normally weak – become substantially more pronounced and observable. The degree of enhancement is highly dependent on the size, shape, and arrangement of the nanospheres, allowing for precise control over light-matter interactions at the nanoscale.
The remarkable nonlinear optical response of Indium-Tin-Oxide (ITO) nanospheres arises from a synergistic effect: localized field enhancement coupled with the material’s unique Epsilon-Near-Zero (ENZ) properties. When light interacts with these nanostructures, the geometry concentrates the electromagnetic field, intensifying the light-matter interaction. Simultaneously, at the ENZ wavelength, the refractive index of ITO approaches zero, causing a dramatic increase in the electric field within the material. This combined effect amplifies the nonlinear optical processes, such as second and third harmonic generation, far beyond what is observed in bulk ITO. Consequently, even weak light signals can induce substantial nonlinear responses, opening avenues for efficient optical switching, frequency mixing, and other advanced photonic applications reliant on strong light-matter interactions at the nanoscale.
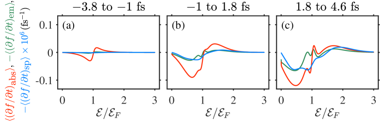
Investigations into Indium-Tin-Oxide nanospheres reveal a pronounced superlinear relationship between light absorption and excitation intensity, stemming from the material’s excited state dynamics. This signifies that even small increases in light input lead to disproportionately larger absorption rates, a phenomenon critical for applications like optical limiting and nonlinear signal processing. Complementing this observation, researchers determined the spontaneous emission rate to be approximately 10^6 times slower than both stimulated emission and absorption. This dramatic imbalance highlights the dominance of coherent processes – those driven by external stimuli – over intrinsic, random emission, ultimately influencing the efficiency of light-matter interactions within the nanoscale structure and paving the way for tailored photonic devices.

The study demonstrates a system’s behavior arising not from imposed design, but from the inherent properties of its constituents-specifically, the interplay between absorption and emission within transparent conducting oxides. This echoes a fundamental principle: robustness emerges, it cannot be designed. Wilhelm Röntgen observed, “I have discovered something new, but I cannot explain it yet.” This sentiment captures the essence of the research; a detailed observation of electron dynamics revealing the dominance of excited state absorption, a phenomenon arising from the material’s internal rules rather than external control. System structure-the energy-space formulation of the Maxwell-Bloch equations-is demonstrably stronger than individual control, allowing the complex interplay of optical and electronic processes to unfold and become observable.
Where Do We Go From Here?
The presented formulation, while illuminating the dominance of absorption in femtosecond nonlinear response of Drude metals, merely displaces the fundamental questions. The energy-space Maxwell-Bloch approach allows a detailed accounting of electron dynamics, yet sidesteps the inevitable complexity arising from many-body effects. A complete picture necessitates acknowledging that ‘the metal’ is not a homogeneous responder, but a confluence of correlated electrons. Every constraint – the limitations of the single-pulse approximation, the inherent simplicity of the density matrix – stimulates inventiveness, demanding a move beyond the mean-field description.
Future investigations should prioritize incorporating electron-electron interactions, perhaps through techniques like the density functional theory time-dependent approach or the development of self-consistent field methods tailored for ultrafast optical phenomena. Transparent conducting oxides, with their nuanced band structures, present an ideal testing ground. The observed excited state absorption suggests a rich landscape of many-body resonances, hinting at potential pathways for manipulating material properties on attosecond timescales.
Ultimately, the pursuit of control over these nonlinear processes seems destined to fail. Self-organization is stronger than forced design. Instead, the focus should shift to influencing the emergent behavior – accepting that the most interesting responses will likely arise not from deliberate orchestration, but from the system finding its own equilibrium within the imposed constraints. The illusion of control is a comfortable one, but true progress lies in embracing the inherent unpredictability of complex systems.
Original article: https://arxiv.org/pdf/2601.10985.pdf
Contact the author: https://www.linkedin.com/in/avetisyan/
See also:
- Marvel Officially Confirms Deadpool’s Most Brutal Redesign
- Welcome to Demon School! Iruma-kun season 4 release schedule: When are new episodes on Crunchyroll?
- The Boys Season 5, Episode 5 Ending Explained: Why Homelander Does THAT
- After 11 Years, Black Clover Officially Ends With Final Release (& Crowns a New Wizard King)
- See King Charles & Queen Camilla’s Royal Looks for State Dinner
- ‘You Can Play Your Purchased Games As Usual’: Sony Breaks Silence on PS5, PS4 Game Expiry DRM
- Invincible Creators Offer Promising Update on Season 5 Release Date
- Frieren: Beyond Journey’s End Gets a New Release After Season 2 Finale
- Apex soundtrack: Every song featured in the Netflix thriller
- Gemma Arterton spy thriller Secret Service based on hit novel gets release date confirmed on ITV
2026-01-19 20:21