Author: Denis Avetisyan
A new framework reveals how subtle arrangements within crystalline structures can give rise to unexpected symmetries and influence a material’s electronic behavior.

This review details mechanisms for quasisymmetry in crystals, linking wavefunction localization and symmetry inheritance to emergent topological properties and spin-orbit coupling effects.
Near-degeneracies and symmetry-protected phenomena in quantum materials are often challenging to understand through conventional symmetry analyses. In ‘Physical Pictures for Quasisymmetry in Crystals’, we present a framework for interpreting quasisymmetry (QS)-an emergent symmetry governing these electronic properties-across diverse material families. Our work, combining density functional theory and \mathbf{k}\cdot\mathbf{p} modeling, reveals that QS arises from either wavefunction localization creating effective symmetries or inheritance from nearby high-symmetry points. Establishing concrete physical pictures for QS and providing diagnostic criteria for first-principles calculations, can we now systematically predict and control topological states in complex materials?
Beyond Perfect Order: When Symmetry Gets Complicated
The predictable order of crystalline materials is often described using traditional symmetry groups, but a growing number of substances defy this neat categorization. These materials, while exhibiting clear patterns, possess symmetries that fall between the well-defined crystallographic groups, creating a challenge for accurate computational modeling. This discrepancy arises because traditional symmetry analyses often fail to capture subtle, yet significant, deviations from perfect periodicity, leading to inaccuracies when predicting properties like conductivity, mechanical strength, or optical behavior. Consequently, simulations relying solely on standard crystallographic assumptions can produce results that diverge from experimental observations, hindering advancements in materials science and engineering. A more refined understanding of these complex symmetries is therefore essential for designing and optimizing materials with targeted functionalities.
Quasisymmetry represents a significant advancement in comprehending the structural arrangements of materials that defy strict crystallographic classifications. Traditional symmetry analyses, while powerful, often fall short when confronted with complex arrangements exhibiting near-regular, yet not perfectly periodic, patterns. This concept acknowledges that materials can possess long-range order without adhering to the constraints of conventional symmetry groups, allowing for a more accurate description of their atomic configurations. By embracing quasisymmetry, researchers gain a refined ability to predict a material’s physical properties – such as its electronic behavior, mechanical strength, and optical characteristics – because the subtle deviations from perfect symmetry can profoundly influence these attributes. Ultimately, recognizing and characterizing quasisymmetry opens avenues for designing materials with functionalities tailored to specific applications, bridging the gap between theoretical models and real-world performance.
The ability to accurately predict and engineer material properties hinges on a complete understanding of their underlying symmetries. While traditional crystallography provides a robust framework for many substances, a growing number of materials exhibit deviations from these established patterns. Characterizing these deviations through the lens of quasisymmetry isn’t merely an academic exercise; it unlocks the potential for designing materials with functionalities previously unattainable. By accounting for these subtle, yet significant, symmetry nuances, researchers can move beyond simply observing material behavior to proactively tailoring it – envisioning materials with optimized optical properties, enhanced catalytic activity, or novel electronic characteristics. This precision, enabled by quasisymmetry, promises a future where materials are not just discovered, but deliberately created to meet specific technological demands, fostering innovation across diverse fields from energy storage to advanced computing.

Computational Tools for Mapping the Complexity
Density Functional Theory (DFT) is a quantum mechanical method used to calculate the electronic structure of materials, focusing on the many-body problem through the electron density rather than individual wavefunctions. Implementations such as VASP and Quantum ESPRESSO solve the Kohn-Sham equations, a set of single-particle equations derived from the DFT formalism, to determine the ground state electron density and associated energy. These codes utilize various exchange-correlation functionals – approximations to the complex many-body interactions – and basis sets to represent the electronic wavefunctions. The resulting electronic structure provides crucial information including band structures, densities of states, and charge distributions, forming the basis for understanding and predicting material properties. Computational cost scales with system size and the complexity of the chosen functional and basis set.
Wannier functions are constructed using the Wannier90 code as a set of orthonormalized, localized basis functions that span the electronic bands of a material. This process begins with the Bloch states obtained from a first-principles calculation, typically using Density Functional Theory. Wannier90 then performs a unitary transformation on these Bloch states to maximize the localization of the resulting Wannier functions. The degree of localization is controlled by parameters within the code, and the resulting Wannier functions can be used to represent the electronic bands in a more compact and computationally efficient manner, particularly useful for describing low-energy physics and transport properties. The localized nature of Wannier functions facilitates the analysis of bonding characteristics and the identification of key orbital contributions to the electronic structure.
PythTB is a Python-based package designed for the manipulation and analysis of tight-binding models, offering a computationally efficient method for investigating low-energy electronic physics. It allows users to define, modify, and analyze tight-binding Hamiltonians, enabling calculations of band structures, density of states, and transport properties without requiring the full complexity of ab initio methods. The package utilizes a sparse matrix representation to handle large systems, and provides tools for symmetry analysis, Bloch wave function calculations, and the implementation of various physical models. By operating on tight-binding Hamiltonians derived from codes like Wannier90, PythTB facilitates rapid prototyping and exploration of material properties relevant to low-energy excitations and phenomena.

Inherited or Intrinsic? The Roots of Quasisymmetry
The inheritance picture of quasisymmetry posits that the observed symmetries in a quasicrystal are not intrinsic to its structure but rather inherited from the symmetries of reciprocal lattice points located close to the Brillouin zone boundaries of the periodic approximant. Specifically, the reciprocal space of a quasicrystal, while aperiodic overall, contains points arbitrarily close to periodic reciprocal lattice points; these nearby, high-symmetry points effectively “transfer” symmetry to the aperiodic structure. This transfer manifests as diffraction peaks appearing at positions dictated by the symmetries of the periodic lattice, even though the real-space structure lacks long-range translational order. The degree of symmetry inherited is therefore dependent on the proximity and strength of these contributing periodic points within reciprocal space.
The emergent symmetry picture of quasisymmetry posits that the phenomenon isn’t inherited from reciprocal space, but instead arises intrinsically within the material itself. This model centers on the localization of electronic wavefunctions, specifically confining them to particular sublattices within the quasicrystalline structure. When wavefunctions are strongly localized on these sublattices, they effectively experience a higher symmetry than the overall lattice, leading to the observed quasisymmetry. This localization restricts the electron’s freedom to explore the full structure, and it is this restriction-and the resulting effective symmetry-that defines the emergent symmetry picture as distinct from the inheritance model.
Wavefunction localization, observed in quasisymmetric materials, directly supports the emergent symmetry picture by confirming that electron states are spatially confined to specific sublattices within the crystal structure. This localization is not a consequence of inherent lattice symmetry, but rather arises from the specific arrangement of atoms and the resulting potential energy landscape. Experimental evidence, including angle-resolved photoemission spectroscopy (ARPES) and scanning tunneling microscopy (STM), demonstrates that these localized wavefunctions effectively reduce the dimensionality of the electronic system, leading to symmetry properties that are not present in the full, three-dimensional lattice. The degree of localization correlates with the strength of the emergent symmetry, providing a quantifiable link between the physical wavefunction distribution and the observed symmetry characteristics.

Quantifying the Subtle Influence: Spin-Orbit Coupling and Beyond
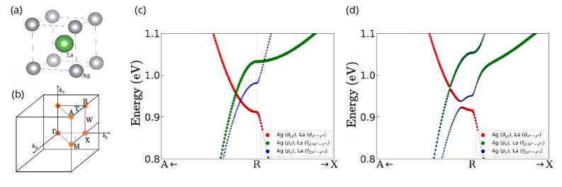
The electronic behavior of materials is profoundly shaped by the interplay between crystal symmetry and spin-orbit coupling (SOC), with quasisymmetry emerging as a critical modulator of this relationship. Quasisymmetry, a subtle form of symmetry that doesn’t fully conform to conventional classifications, demonstrably alters the electronic band structure by influencing the magnitude of the SOC gap. This gap, representing an energy range where no electronic states are allowed, directly affects a material’s electrical conductivity and optical properties. Materials exhibiting strong quasisymmetry demonstrate a noticeable suppression of first-order SOC contributions-in some cases, reducing them by as much as 60%-leading to unique and potentially advantageous electronic characteristics. Consequently, understanding and quantifying quasisymmetry is essential for designing materials with tailored properties for applications in areas like spintronics and advanced electronics.
Precise determination of spin-orbit coupling (SOC) effects relies on sophisticated computational techniques, and the combination of k \cdot p perturbation theory with the DFT2kp method offers a powerful approach. This methodology enables researchers to accurately calculate the matrix elements that describe the strength of SOC interactions within a material’s electronic structure. By starting with density functional theory (DFT) to establish a robust electronic ground state, DFT2kp then constructs a tight-binding model amenable to k \cdot p analysis. This allows for a detailed examination of how SOC modifies energy bands, ultimately predicting the magnitude of the resulting band gap and providing crucial insights into a material’s optical and electronic properties. The accuracy afforded by this combined approach is essential for understanding and potentially engineering materials with tailored SOC-driven functionalities.
Analysis leveraging the Qsymm tool reveals how symmetry constraints within a material’s Hamiltonian govern the magnitude of spin-orbit coupling (SOC) effects. This approach allows for a detailed understanding of quasisymmetry and its influence on electronic behavior, notably demonstrating a quantifiable reduction in first-order SOC contributions. Specifically, studies on transition metal dichalcogenides (TMDs) have shown that quasisymmetry can suppress these contributions by as much as 60%, significantly altering the material’s band structure and potentially leading to novel electronic properties. This level of quantifiable suppression highlights the importance of considering symmetry when predicting and manipulating SOC-driven phenomena in materials science.

The pursuit of identifying mechanisms behind emergent symmetry in materials, as detailed in this work regarding quasisymmetry and wavefunction localization, feels…familiar. It’s a predictable dance. The researchers meticulously outline how high-symmetry points ‘inherit’ properties, influencing spin splitting – elegant, certainly. But one anticipates production environments swiftly revealing edge cases, unexpected interactions, and the inevitable accumulation of technical debt. As John Locke observed, “All mankind… being all equal and independent, no one ought to harm another in his life, health, liberty, or possessions.” One suspects materials, much like people, have a knack for defying neat categorization and asserting their own, messy realities. The framework presented is a useful starting point, yet it’s merely a snapshot of a system destined to evolve-and complicate-beyond its initial design.
What’s Next?
The identification of wavefunction localization and high-symmetry inheritance as drivers of quasisymmetry offers a useful vocabulary, though frameworks are, at best, temporary descriptions of complexity. The present work correctly shifts focus from strict symmetry to the persistence of symmetry – a distinction production materials will inevitably blur. Tight-binding models, while computationally efficient, always demand reconciliation with first-principles calculations; the inevitable back-and-forth is not a failure of method, but a symptom of materials refusing elegant categorization.
Future iterations will likely grapple with the limitations of applying these concepts beyond the studied wurtzites. The degree to which these mechanisms generalize to more complex crystal structures-and, critically, to materials lacking strong spin-orbit coupling-remains an open question. One anticipates refinement will involve not simply finding quasisymmetry, but quantifying its robustness against disorder and external perturbation-a task that quickly transforms architectural elegance into practical triage.
Ultimately, the field doesn’t advance by discovering new symmetries, but by charting the topography of their failures. Everything optimized will one day be optimized back. The challenge isn’t building a perfect theory, but constructing one resilient enough to survive contact with reality – a compromise that, for a time, holds.
Original article: https://arxiv.org/pdf/2602.18132.pdf
Contact the author: https://www.linkedin.com/in/avetisyan/
See also:
- Marvel Officially Confirms Deadpool’s Most Brutal Redesign
- 10 Movies That Were Banned in Different Countries For Random Reasons
- Welcome to Demon School! Iruma-kun season 4 release schedule: When are new episodes on Crunchyroll?
- Nintendo Switch 2 Reportedly Getting Remake of One of the Best PS3 and Xbox 360 Games
- Crunchyroll Confirms New Isekai Anime Releases for 2026 and Beyond (With Major Returns)
- Michael Jackson Biopic’s Record-Breaking Debut Unseats 2026’s Biggest Box Office Hit On U.S. Chart
- Gold Rate Forecast
- 9 Great Supernatural Characters Everyone Forgot About
- 5 Best Open-World Games You Can Beat In A Weekend
- All 61 Episodes 90s Cult Classic Sci-Fi TV Show That Was Famously Canceled Twice Were Just Added to Tubi
2026-02-23 11:55